



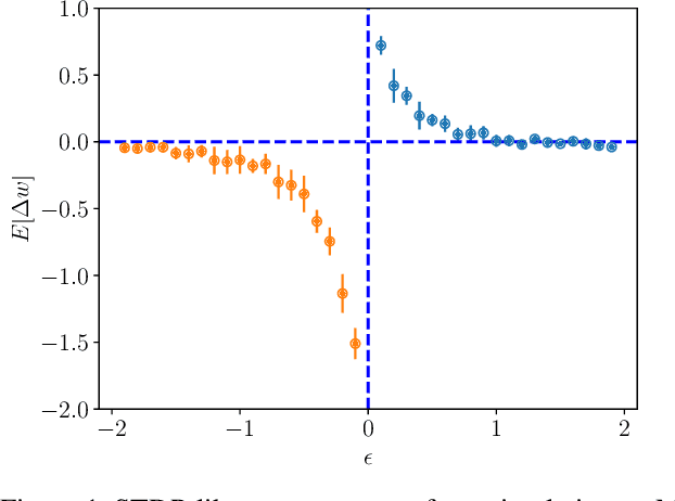
Motivated by the celebrated discrete-time model of nervous activity outlined by McCulloch and Pitts in 1943, we propose a novel continuous-time model, the McCulloch-Pitts network (MPN), for sequence learning in spiking neural networks. Our model has a local learning rule, such that the synaptic weight updates depend only on the information directly accessible by the synapse. By exploiting asymmetry in the connections between binary neurons, we show that MPN can be trained to robustly memorize multiple spatiotemporal patterns of binary vectors, generalizing the ability of the symmetric Hopfield network to memorize static spatial patterns. In addition, we demonstrate that the model can efficiently learn sequences of binary pictures as well as generative models for experimental neural spike-train data. Our learning rule is consistent with spike-timing-dependent plasticity (STDP), thus providing a theoretical ground for the systematic design of biologically inspired networks with large and robust long-range sequence storage capacity.