



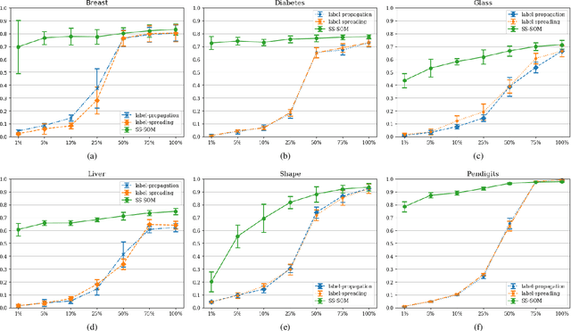
There has been an increasing interest in semi-supervised learning in the recent years because of the great number of datasets with a large number of unlabeled data but only a few labeled samples. Semi-supervised learning algorithms can work with both types of data, combining them to obtain better performance for both clustering and classification. Also, these datasets commonly have a high number of dimensions. This article presents a new semi-supervised method based on self-organizing maps (SOMs) for clustering and classification, called Semi-Supervised Self-Organizing Map (SS-SOM). The method can dynamically switch between supervised and unsupervised learning during the training according to the availability of the class labels for each pattern. Our results show that the SS-SOM outperforms other semi-supervised methods in conditions in which there is a low amount of labeled samples, also achieving good results when all samples are labeled.