



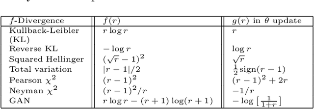
We investigate adversarial learning in the case when only an unnormalized form of the density can be accessed, rather than samples. With insights so garnered, adversarial learning is extended to the case for which one has access to an unnormalized form u(x) of the target density function, but no samples. Further, new concepts in GAN regularization are developed, based on learning from samples or from u(x). The proposed method is compared to alternative approaches, with encouraging results demonstrated across a range of applications, including deep soft Q-learning.