



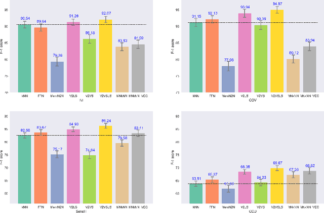
k-Nearest Neighbors is one of the most fundamental but effective classification models. In this paper, we propose two families of models built on a sequence to sequence model and a memory network model to mimic the k-Nearest Neighbors model, which generate a sequence of labels, a sequence of out-of-sample feature vectors and a final label for classification, and thus they could also function as oversamplers. We also propose 'out-of-core' versions of our models which assume that only a small portion of data can be loaded into memory. Computational experiments show that our models outperform k-Nearest Neighbors, a feed-forward neural network and a memory network, due to the fact that our models must produce additional output and not just the label. As an oversample on imbalanced datasets, the sequence to sequence kNN model often outperforms Synthetic Minority Over-sampling Technique and Adaptive Synthetic Sampling.