



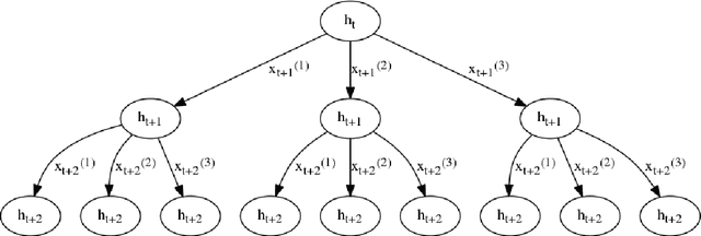
We introduce multiplicative LSTM (mLSTM), a recurrent neural network architecture for sequence modelling that combines the long short-term memory (LSTM) and multiplicative recurrent neural network architectures. mLSTM is characterised by its ability to have different recurrent transition functions for each possible input, which we argue makes it more expressive for autoregressive density estimation. We demonstrate empirically that mLSTM outperforms standard LSTM and its deep variants for a range of character level language modelling tasks. In this version of the paper, we regularise mLSTM to achieve 1.27 bits/char on text8 and 1.24 bits/char on Hutter Prize. We also apply a purely byte-level mLSTM on the WikiText-2 dataset to achieve a character level entropy of 1.26 bits/char, corresponding to a word level perplexity of 88.8, which is comparable to word level LSTMs regularised in similar ways on the same task.