



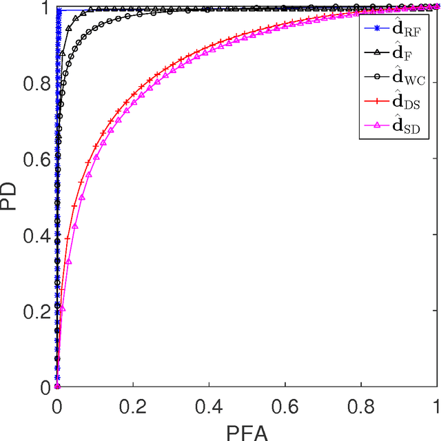
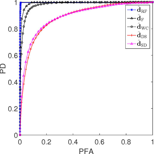
Archetypal scenarios for change detection generally consider two images acquired through sensors of the same modality. However, in some specific cases such as emergency situations, the only images available may be those acquired through different kinds of sensors. More precisely, this paper addresses the problem of detecting changes between two multi-band optical images characterized by different spatial and spectral resolutions. This sensor dissimilarity introduces additional issues in the context of operational change detection. To alleviate these issues, classical change detection methods are applied after independent preprocessing steps (e.g., resampling) used to get the same spatial and spectral resolutions for the pair of observed images. Nevertheless, these preprocessing steps tend to throw away relevant information. Conversely, in this paper, we propose a method that more effectively uses the available information by modeling the two observed images as spatial and spectral versions of two (unobserved) latent images characterized by the same high spatial and high spectral resolutions. As they cover the same scene, these latent images are expected to be globally similar except for possible changes in sparse spatial locations. Thus, the change detection task is envisioned through a robust multi-band image fusion method which enforces the differences between the estimated latent images to be spatially sparse. This robust fusion problem is formulated as an inverse problem which is iteratively solved using an efficient block-coordinate descent algorithm. The proposed method is applied to real panchormatic/multispectral and hyperspectral images with simulated realistic changes. A comparison with state-of-the-art change detection methods evidences the accuracy of the proposed strategy.