



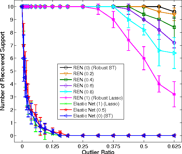
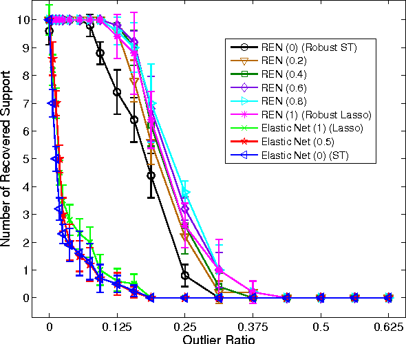
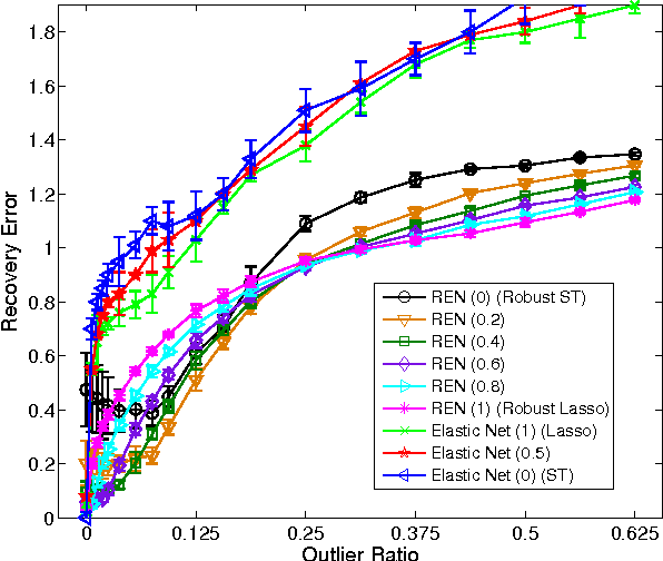
We propose a robust elastic net (REN) model for high-dimensional sparse regression and give its performance guarantees (both the statistical error bound and the optimization bound). A simple idea of trimming the inner product is applied to the elastic net model. Specifically, we robustify the covariance matrix by trimming the inner product based on the intuition that the trimmed inner product can not be significant affected by a bounded number of arbitrarily corrupted points (outliers). The REN model can also derive two interesting special cases: robust Lasso and robust soft thresholding. Comprehensive experimental results show that the robustness of the proposed model consistently outperforms the original elastic net and matches the performance guarantees nicely.