



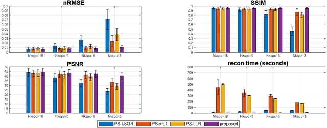
Partial separable(PS) model is a powerful model for dynamic magnetic resonance imaging (MRI). PS model explicitly reduces the degree of freedom in the reconstruction problem, which is beneficial for high temporal resolution applications. However, long acquisition time and even longer reconstruction time prohibit the acceptance of PS model in daily practice. In this work, we propose to fully exploit the dimension-reduction property to accelerate the PS model. We optimize the data consistency term, and use a Tikhonov regularization term based on Frobenius norm of temporal difference, resulting in a totally dimension-reduced optimization technique. The proposed method is used for accelerating the free-running cardiac MRI. We have performed both retrospective experiments on public dataset and prospective experiments on in-vivo data, and compared the proposed method with least-square method and another two popular regularized PS model methods. The results show that the proposed method has robust performance against shortened acquisition time or suboptimal hyper-parameter settings, and achieves superior image quality over all other competing algorithms. The proposed method is 20-fold faster than the widely accepted PS+Sparse method, enabling data acquisition and image reconstruction to be completed in just a few seconds.