



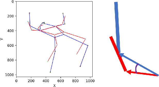
Human pose assessment and correction play a crucial role in applications across various fields, including computer vision, robotics, sports analysis, healthcare, and entertainment. In this paper, we propose a Spatial-Temporal Transformer based Framework (STTF) for human pose assessment and correction in education scenarios such as physical exercises and science experiment. The framework comprising skeletal tracking, pose estimation, posture assessment, and posture correction modules to educate students with professional, quick-to-fix feedback. We also create a pose correction method to provide corrective feedback in the form of visual aids. We test the framework with our own dataset. It comprises (a) new recordings of five exercises, (b) existing recordings found on the internet of the same exercises, and (c) corrective feedback on the recordings by professional athletes and teachers. Results show that our model can effectively measure and comment on the quality of students' actions. The STTF leverages the power of transformer models to capture spatial and temporal dependencies in human poses, enabling accurate assessment and effective correction of students' movements.