



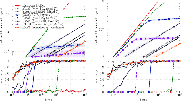
We study the K-armed dueling bandit problem which is a variation of the classical Multi-Armed Bandit (MAB) problem in which the learner receives only relative feedback about the selected pairs of arms. We propose a new algorithm called Relative Exponential-weight algorithm for Exploration and Exploitation (REX3) to handle the adversarial utility-based formulation of this problem. This algorithm is a non-trivial extension of the Exponential-weight algorithm for Exploration and Exploitation (EXP3) algorithm. We prove a finite time expected regret upper bound of order O(sqrt(K ln(K)T)) for this algorithm and a general lower bound of order omega(sqrt(KT)). At the end, we provide experimental results using real data from information retrieval applications.