



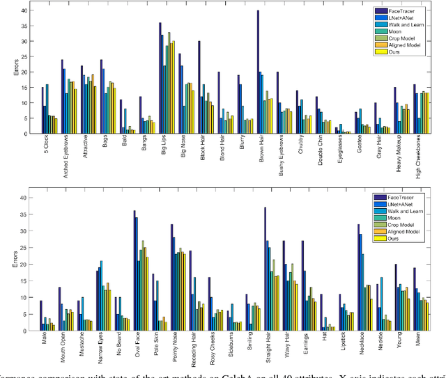
Facial attribute analysis in the real world scenario is very challenging mainly because of complex face variations. Existing works of analyzing face attributes are mostly based on the cropped and aligned face images. However, this result in the capability of attribute prediction heavily relies on the preprocessing of face detector. To address this problem, we present a novel jointly learned deep architecture for both facial attribute analysis and face detection. Our framework can process the natural images in the wild and our experiments on CelebA and LFWA datasets clearly show that the state-of-the-art performance is obtained.