



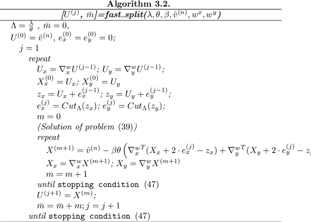
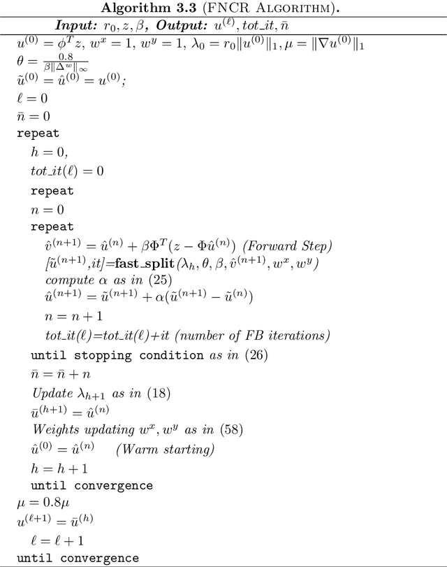
In this paper we present a fast and efficient method for the reconstruction of Magnetic Resonance Images (MRI) from severely under-sampled data. From the Compressed Sensing theory we have mathematically modeled the problem as a constrained minimization problem with a family of non-convex regularizing objective functions depending on a parameter and a least squares data fit constraint. We propose a fast and efficient algorithm, named Fast NonConvex Reweighting (FNCR) algorithm, based on an iterative scheme where the non-convex problem is approximated by its convex linearization and the penalization parameter is automatically updated. The convex problem is solved by a Forward-Backward procedure, where the Backward step is performed by a Split Bregman strategy. Moreover, we propose a new efficient iterative solver for the arising linear systems. We prove the convergence of the proposed FNCR method. The results on synthetic phantoms and real images show that the algorithm is very well performing and computationally efficient, even when compared to the best performing methods proposed in the literature.