



Abstract:Performance analysis is carried out in a near-field multiple-input multiple-output (MIMO) system for both discrete and continuous aperture antennas. The effective degrees of freedom (EDoF) is first derived. It is shown that near-field MIMO systems have a higher EDoF than free-space far-field ones. Additionally, the near-field EDoF further depends on the communication distance. Based on the derived EDoF, closed-form expressions of channel capacity with a fixed distance are obtained. As a further advance, with randomly deployed receivers, ergodic capacity is derived. Simulation results reveal that near-field MIMO has an enhanced multiplexing gain even under line-of-sight transmissions. In addition, the performance of discrete MIMO converges to that of continuous-aperture MIMO.
Abstract:Non-orthogonal multiple access (NOMA) is capable of serving different numbers of users in the same time-frequency resource element, and this feature can be leveraged to carry additional information. In the orthogonal frequency division multiplexing (OFDM) system, we propose a novel enhanced NOMA scheme, called NOMA with informative envelope (NOMA-IE), to explore the flexibility of the envelope of NOMA signals. In this scheme, data bits are conveyed by the quantified signal envelope in addition to classic signal constellations. The subcarrier activation patterns of different users are jointly decided by the envelope former. At the receiver, successive interference cancellation (SIC) is employed, and we also introduce the envelope detection coefficient to eliminate the error floor. Theoretical expressions of spectral efficiency and energy efficiency are provided for the NOMA-IE. Then, considering the binary phase shift keying modulation, we derive the asymptotic bit error rate for the two-subcarrier OFDM subblock. Afterwards, the expressions are extended to the four-subcarrier case. The analytical results reveal that the imperfect SIC and the index error are the main factors degrading the error performance. The numerical results demonstrate the superiority of the NOMA-IE over the OFDM and OFDM-NOMA, especially in the high signal-to-noise ratio (SNR) regime.




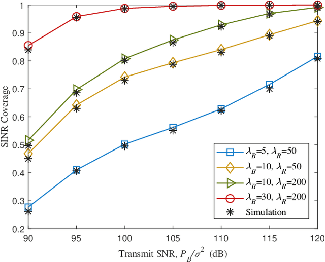
Abstract:Reconfigurable intelligent surface (RIS) has been regarded as a promising tool to strengthen the quality of signal transmissions in non-orthogonal multiple access (NOMA) networks. This article introduces a heterogeneous network (HetNet) structure into RIS-aided NOMA multi-cell networks. A practical user equipment (UE) association scheme for maximizing the average received power is adopted. To evaluate system performance, we provide a stochastic geometry based analytical framework, where the locations of RISs, base stations (BSs), and UEs are modeled as homogeneous Poisson point processes (PPPs). Based on this framework, we first derive the closed-form probability density function (PDF) to characterize the distribution of the reflective links created by RISs. Then, both the exact expressions and upper/lower bounds of UE association probability are calculated. Lastly, the analytical expressions of the signal-to-interference-plus-noise-ratio (SINR) and rate coverage probability are deduced. Additionally, to investigate the impact of RISs on system coverage, the asymptotic expressions of two coverage probabilities are derived. The theoretical results show that RIS length is not the decisive factor for coverage improvement. Numerical results demonstrate that the proposed RIS HetNet structure brings significant enhancement in rate coverage. Moreover, there exists an optimal combination of RISs and BSs deployment densities to maximize coverage probability.