



Abstract:Current popular methods for Magnetic Resonance Fingerprint (MRF) recovery are bottlenecked by the heavy computations of a matched-filtering step due to the growing size and complexity of the fingerprint dictionaries in multi-parametric quantitative MRI applications. We address this shortcoming by arranging dictionary atoms in the form of cover tree structures and adopt the corresponding fast approximate nearest neighbour searches to accelerate matched-filtering. For datasets belonging to smooth low-dimensional manifolds cover trees offer search complexities logarithmic in terms of data population. With this motivation we propose an iterative reconstruction algorithm, named CoverBLIP, to address large-size MRF problems where the fingerprint dictionary i.e. discrete manifold of Bloch responses, encodes several intrinsic NMR parameters. We study different forms of convergence for this algorithm and we show that provided with a notion of embedding, the inexact and non-convex iterations of CoverBLIP linearly convergence toward a near-global solution with the same order of accuracy as using exact brute-force searches. Our further examinations on both synthetic and real-world datasets and using different sampling strategies, indicates between 2 to 3 orders of magnitude reduction in total search computations. Cover trees are robust against the curse-of-dimensionality and therefore CoverBLIP provides a notion of scalability -- a consistent gain in time-accuracy performance-- for searching high-dimensional atoms which may not be easily preprocessed (i.e. for dimensionality reduction) due to the increasing degrees of non-linearities appearing in the emerging multi-parametric MRF dictionaries.




Abstract:We adopt data structure in the form of cover trees and iteratively apply approximate nearest neighbour (ANN) searches for fast compressed sensing reconstruction of signals living on discrete smooth manifolds. Levering on the recent stability results for the inexact Iterative Projected Gradient (IPG) algorithm and by using the cover tree's ANN searches, we decrease the projection cost of the IPG algorithm to be logarithmically growing with data population for low dimensional smooth manifolds. We apply our results to quantitative MRI compressed sensing and in particular within the Magnetic Resonance Fingerprinting (MRF) framework. For a similar (or sometimes better) reconstruction accuracy, we report 2-3 orders of magnitude reduction in computations compared to the standard iterative method which uses brute-force searches.




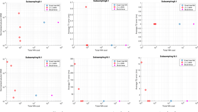
Abstract:Current proposed solutions for the high dimensionality of the MRF reconstruction problem rely on a linear compression step to reduce the matching computations and boost the efficiency of fast but non-scalable searching schemes such as the KD-trees. However such methodologies often introduce an unfavourable compromise in the estimation accuracy when applied to nonlinear data structures such as the manifold of Bloch responses with possible increased dynamic complexity and growth in data population. To address this shortcoming we propose an inexact iterative reconstruction method, dubbed as the Cover BLoch response Iterative Projection (CoverBLIP). Iterative methods improve the accuracy of their non-iterative counterparts and are additionally robust against certain accelerated approximate updates, without compromising their final accuracy. Leveraging on these results, we accelerate matched-filtering using an ANNS algorithm based on Cover trees with a robustness feature against the curse of dimensionality.




Abstract:High resolution ultrasound image reconstruction from a reduced number of measurements is of great interest in ultrasound imaging, since it could enhance both the frame rate and image resolution. Compressive deconvolution, combining compressed sensing and image deconvolution, represents an interesting possibility to consider this challenging task. The model of compressive deconvolution includes, in addition to the compressive sampling matrix, a 2D convolution operator carrying the information on the system point spread function. Through this model, the resolution of reconstructed ultrasound images from compressed measurements mainly depends on three aspects: the acquisition setup, i.e. the incoherence of the sampling matrix, the image regularization, i.e. the sparsity prior, and the optimization technique. In this paper, we mainly focused on the last two aspects. We proposed a novel simultaneous direction method of multipliers-based optimization scheme to invert the linear model, including two regularization terms expressing the sparsity of the RF images in a given basis and the generalized Gaussian statistical assumption on tissue reflectivity functions. The performance of the method is evaluated on both simulated and in vivo data.




Abstract:The interest of compressive sampling in ultrasound imaging has been recently extensively evaluated by several research teams. Following the different application setups, it has been shown that the RF data may be reconstructed from a small number of measurements and/or using a reduced number of ultrasound pulse emissions. Nevertheless, RF image spatial resolution, contrast and signal to noise ratio are affected by the limited bandwidth of the imaging transducer and the physical phenomenon related to US wave propagation. To overcome these limitations, several deconvolution-based image processing techniques have been proposed to enhance the ultrasound images. In this paper, we propose a novel framework, named compressive deconvolution, that reconstructs enhanced RF images from compressed measurements. Exploiting an unified formulation of the direct acquisition model, combining random projections and 2D convolution with a spatially invariant point spread function, the benefit of our approach is the joint data volume reduction and image quality improvement. The proposed optimization method, based on the Alternating Direction Method of Multipliers, is evaluated on both simulated and in vivo data.