



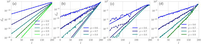
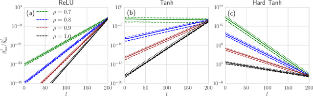
Abstract:In recent years, the mean field theory has been applied to the study of neural networks and has achieved a great deal of success. The theory has been applied to various neural network structures, including CNNs, RNNs, Residual networks, and Batch normalization. Inevitably, recent work has also covered the use of dropout. The mean field theory shows that the existence of depth scales that limit the maximum depth of signal propagation and gradient backpropagation. However, the gradient backpropagation is derived under the gradient independence assumption that weights used during feed forward are drawn independently from the ones used in backpropagation. This is not how neural networks are trained in a real setting. Instead, the same weights used in a feed-forward step needs to be carried over to its corresponding backpropagation. Using this realistic condition, we perform theoretical computation on linear dropout networks and a series of experiments on dropout networks. Our empirical results show an interesting phenomenon that the length gradients can backpropagate for a single input and a pair of inputs are governed by the same depth scale. Besides, we study the relationship between variance and mean of statistical metrics of the gradient and shown an emergence of universality. Finally, we investigate the maximum trainable length for deep dropout networks through a series of experiments using MNIST and CIFAR10 and provide a more precise empirical formula that describes the trainable length than original work.