Abstract:Electrodermal activity (EDA) is a widely used physiological signal for assessing sympathetic nervous activity, such as arousal, stress, and pain. However, reliable decomposition into tonic and phasic components remains challenging, particularly in noisy environments and across individuals with varying signal morphologies and stimulus responses. We propose ospEDA, a novel Orthogonal Subspace Projection (OSP) based method for EDA decomposition. The method integrates (1) tonic estimation via physiologically motivated valley detection for noise robustness; (2) phasic extraction using OSP to accommodate inter subject variability; and (3) phasic driver estimation through non-negative least squares (NNLS) deconvolution with ridge regularization. We evaluated ospEDA on five real-world datasets and one simulated EDA dataset with ground-truth components, comparing its performance against six existing methods. In simulations with a 20 dB signal to noise ratio (SNR), ospEDA achieved the lowest root mean square error (RMSE) for estimated tonic (0.131) and phasic (0.132) components. Under noisier conditions (10 dB SNR), it maintained superior phasic RMSE (0.293), Pearson correlation (0.782), and R^2 (0.979) values. Furthermore, ospEDA consistently provided the highest F1 scores (0.573, 0.617, 0.638) for sympathetic nerve activity detection across 10, 20, and 30 dB SNR levels, respectively, compared to existing methods. On the real world datasets, ospEDA achieved a stimulus classification AUROC of 0.766 and consistently maintained strong effect sizes (ω^2>0.14) across all five datasets. Overall, ospEDA represents a promising framework for EDA decomposition, showing generally consistent performance and reliable phasic driver estimation under the varying noise conditions, with potential utility for real world physiological monitoring applications.




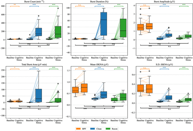
Abstract:The sympathetic nervous system (SNS) plays a central role in regulating the body's responses to stress and maintaining physiological stability. Its dysregulation is associated with a wide range of conditions, from cardiovascular disease to anxiety disorders. Skin nerve activity (SKNA) extracted from high-frequency electrocardiogram (ECG) recordings provides a noninvasive window into SNS dynamics, but its measurement is highly susceptible to electromyographic (EMG) contamination. Traditional preprocessing based on bandpass filtering within a fixed range (e.g., 500--1000 Hz) is susceptible to overlapping EMG and SKNA spectral components, especially during sustained muscle activity. We present a denoising approach using a lightweight one-dimensional convolutional autoencoder with a long short-term memory (LSTM) bottleneck to reconstruct clean SKNA from EMG-contaminated recordings. Using clean ECG-derived SKNA data from cognitive stress experiments and EMG noise from chaotic muscle stimulation recordings, we simulated contamination at realistic noise levels (--4 dB, --8 dB signal-to-noise ratio) and trained the model in the leave-one-subject-out cross-validation framework. The method improved signal-to-noise ratio by up to 9.65 dB, increased cross correlation with clean SKNA from 0.40 to 0.72, and restored burst-based SKNA features to near-clean discriminability (AUROC $\geq$ 0.96). Classification of baseline versus sympathetic stimulation (cognitive stress) conditions reached accuracies of 91--98\% across severe noise levels, comparable to clean data. These results demonstrate that deep learning--based reconstruction can preserve physiologically relevant sympathetic bursts during substantial EMG interference, enabling more robust SKNA monitoring in naturalistic, movement-rich environments.
Abstract:Assessment of the sympathetic nervous system (SNS) is one of the major approaches for studying affective states. Skin nerve activity (SKNA) derived from high-frequency components of electrocardiogram (ECG) signals has been a promising surrogate for assessing the SNS. However, current SKNA analysis tools have shown high variability across study protocols and experiments. Hence, we propose a time-varying spectral approach based on SKNA to assess the SNS with higher sensitivity and reliability. We collected ECG signals at a sampling frequency of 10 KHz from sixteen subjects who underwent various SNS stimulations. Our spectral analysis revealed that frequency bands between 150 - 1,000 Hz showed significant increases in power during SNS stimulations. Using this information, we developed a time-varying index of sympathetic function measurement based on SKNA, termed, Time-Varying Skin Nerve Activity (TVSKNA). TVSKNA is calculated in three steps: time-frequency decomposition, reconstruction using selected frequency bands, and smoothing. TVSKNA indices exhibited generally higher Youden's J, balanced accuracy, and area under the receiver operating characteristic curve, indicating higher sensitivity. The coefficient of variance was lower with TVSKNA indices for most SNS tasks. TVSKNA can serve as a highly sensitive and reliable marker of quantitative assessment of sympathetic function, especially during emotion and stress.




Abstract:Continuous monitoring of non-invasive skin sympathetic nerve activity (SKNA) holds promise for understanding the sympathetic nervous system (SNS) dynamics in various physiological and pathological conditions. However, muscle noise artifacts present a challenge in accurate SKNA analysis, particularly in real-life scenarios. This study proposes a deep convolutional neural network (CNN) approach to detect and remove muscle noise from SKNA recordings obtained via ECG electrodes. Twelve healthy participants underwent controlled experimental protocols involving cognitive stress induction and voluntary muscle movements, while collecting SKNA data. Power spectral analysis revealed significant muscle noise interference within the SKNA frequency band (500-1000 Hz). A 2D CNN model was trained on the spectrograms of the data segments to classify them into baseline, stress-induced SKNA, and muscle noise-contaminated periods, achieving an average accuracy of 89.85% across all subjects. Our findings underscore the importance of addressing muscle noise for accurate SKNA monitoring, advancing towards wearable SKNA sensors for real-world applications.




Abstract:The electrodermal activity (EDA) signal is a sensitive and non-invasive surrogate measure of sympathetic function. Use of EDA has increased in popularity in recent years for such applications as emotion and stress recognition; assessment of pain, fatigue, and sleepiness; diagnosis of depression and epilepsy; and other uses. Recently, there have been several studies using ambulatory EDA recordings, which are often quite useful for analysis of many physiological conditions. Because ambulatory monitoring uses wearable devices, EDA signals are often affected by noise and motion artifacts. An automated noise and motion artifact detection algorithm is therefore of utmost importance for accurate analysis and evaluation of EDA signals. In this paper, we present machine learning-based algorithms for motion artifact detection in EDA signals. With ten subjects, we collected two simultaneous EDA signals from the right and left hands, while instructing the subjects to move only the right hand. Using these data, we proposed a cross-correlation-based approach for non-biased labeling of EDA data segments. A set of statistical, spectral and model-based features were calculated which were then subjected to a feature selection algorithm. Finally, we trained and validated several machine learning methods using a leave-one-subject-out approach. The classification accuracy of the developed model was 83.85% with a standard deviation of 4.91%, which was better than a recent standard method that we considered for comparison to our algorithm.