



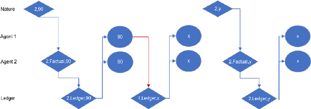
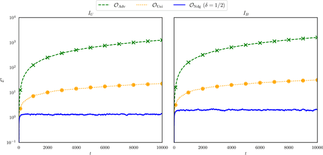
Abstract:Explore-and-exploit tradeoffs play a key role in recommendation systems (RSs), aiming at serving users better by learning from previous interactions. Despite their commercial success, the societal effects of explore-and-exploit mechanisms are not well understood, especially regarding the utility discrepancy they generate between different users. In this work, we measure such discrepancy using the economic notion of envy. We present a multi-armed bandit-like model in which every round consists of several sessions, and rewards are realized once per round. We call the latter property reward consistency, and show that the RS can leverage this property for better societal outcomes. On the downside, doing so also generates envy, as late-to-arrive users enjoy the information gathered by early-to-arrive users. We examine the generated envy under several arrival order mechanisms and virtually any anonymous algorithm, i.e., any algorithm that treats all similar users similarly without leveraging their identities. We provide tight envy bounds on uniform arrival and upper bound the envy for nudged arrival, in which the RS can affect the order of arrival by nudging its users. Furthermore, we study the efficiency-fairness trade-off by devising an algorithm that allows constant envy and approximates the optimal welfare in restricted settings. Finally, we validate our theoretical results empirically using simulations.
Abstract:Two firms are engaged in a competitive prediction task. Each firm has two sources of data -- labeled historical data and unlabeled inference-time data -- and uses the former to derive a prediction model, and the latter to make predictions on new instances. We study data-sharing contracts between the firms. The novelty of our study is to introduce and highlight the differences between contracts that share prediction models only, contracts to share inference-time predictions only, and contracts to share both. Our analysis proceeds on three levels. First, we develop a general Bayesian framework that facilitates our study. Second, we narrow our focus to two natural settings within this framework: (i) a setting in which the accuracy of each firm's prediction model is common knowledge, but the correlation between the respective models is unknown; and (ii) a setting in which two hypotheses exist regarding the optimal predictor, and one of the firms has a structural advantage in deducing it. Within these two settings we study optimal contract choice. More specifically, we find the individually rational and Pareto-optimal contracts for some notable cases, and describe specific settings where each of the different sharing contracts emerge as optimal. Finally, in the third level of our analysis we demonstrate the applicability of our concepts in a synthetic simulation using real loan data.




Abstract:The quality of learning generally improves with the scale and diversity of data. Companies and institutions can therefore benefit from building models over shared data. Many cloud and blockchain platforms, as well as government initiatives, are interested in providing this type of service. These cooperative efforts face a challenge, which we call ``exclusivity attacks''. A firm can share distorted data, so that it learns the best model fit, but is also able to mislead others. We study protocols for long-term interactions and their vulnerability to these attacks, in particular for regression and clustering tasks. We conclude that the choice of protocol, as well as the number of Sybil identities an attacker may control, is material to vulnerability.