



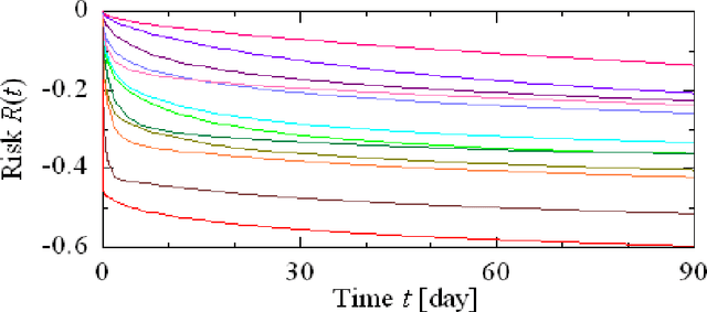
Abstract:The European sovereign debt crisis has impaired many European banks. The distress on the European banks may transmit worldwide, and result in a large-scale knock-on default of financial institutions. This study presents a computer simulation model to analyze the risk of insolvency of banks and defaults in a bank credit network. Simulation experiments reproduce the knock-on default, and quantify the impact which is imposed on the number of bank defaults by heterogeneity of the bank credit network, the equity capital ratio of banks, and the capital surcharge on big banks.

Abstract:This study presents a method to predict the growth fluctuation of firms interdependent in a network economy. The risk of downward growth fluctuation of firms is calculated from the statistics on Japanese industry.




Abstract:This study presents a method to discover an outbreak of an infectious disease in a region for which data are missing, but which is at work as a disease spreader. Node discovery for the spread of an infectious disease is defined as discriminating between the nodes which are neighboring to a missing disease spreader node, and the rest, given a dataset on the number of cases. The spread is described by stochastic differential equations. A perturbation theory quantifies the impact of the missing spreader on the moments of the number of cases. Statistical discriminators examine the mid-body or tail-ends of the probability density function, and search for the disturbance from the missing spreader. They are tested with computationally synthesized datasets, and applied to the SARS outbreak and flu pandemic.


Abstract:Stochasticity and spatial heterogeneity are of great interest recently in studying the spread of an infectious disease. The presented method solves an inverse problem to discover the effectively decisive topology of a heterogeneous network and reveal the transmission parameters which govern the stochastic spreads over the network from a dataset on an infectious disease outbreak in the early growth phase. Populations in a combination of epidemiological compartment models and a meta-population network model are described by stochastic differential equations. Probability density functions are derived from the equations and used for the maximal likelihood estimation of the topology and parameters. The method is tested with computationally synthesized datasets and the WHO dataset on SARS outbreak.




Abstract:Methods to solve a node discovery problem for a social network are presented. Covert nodes refer to the nodes which are not observable directly. They transmit the influence and affect the resulting collaborative activities among the persons in a social network, but do not appear in the surveillance logs which record the participants of the collaborative activities. Discovering the covert nodes is identifying the suspicious logs where the covert nodes would appear if the covert nodes became overt. The performance of the methods is demonstrated with a test dataset generated from computationally synthesized networks and a real organization.




Abstract:In this paper, I present a method to solve a node discovery problem in a networked organization. Covert nodes refer to the nodes which are not observable directly. They affect social interactions, but do not appear in the surveillance logs which record the participants of the social interactions. Discovering the covert nodes is defined as identifying the suspicious logs where the covert nodes would appear if the covert nodes became overt. A mathematical model is developed for the maximal likelihood estimation of the network behind the social interactions and for the identification of the suspicious logs. Precision, recall, and F measure characteristics are demonstrated with the dataset generated from a real organization and the computationally synthesized datasets. The performance is close to the theoretical limit for any covert nodes in the networks of any topologies and sizes if the ratio of the number of observation to the number of possible communication patterns is large.




Abstract:A new method is presented, that can help a person become aware of his or her unconscious preferences, and convey them to others in the form of verbal explanation. The method combines the concepts of reflection, visualization, and verbalization. The method was tested in an experiment where the unconscious preferences of the subjects for various artworks were investigated. In the experiment, two lessons were learned. The first is that it helps the subjects become aware of their unconscious preferences to verbalize weak preferences as compared with strong preferences through discussion over preference diagrams. The second is that it is effective to introduce an adjustable factor into visualization to adapt to the differences in the subjects and to foster their mutual understanding.




Abstract:The investigation of the terrorist attack is a time-critical task. The investigators have a limited time window to diagnose the organizational background of the terrorists, to run down and arrest the wire-pullers, and to take an action to prevent or eradicate the terrorist attack. The intuitive interface to visualize the intelligence data set stimulates the investigators' experience and knowledge, and aids them in decision-making for an immediately effective action. This paper presents a computational method to analyze the intelligence data set on the collective actions of the perpetrators of the attack, and to visualize it into the form of a social network diagram which predicts the positions where the wire-pullers conceals themselves.




Abstract:An empty spot refers to an empty hard-to-fill space which can be found in the records of the social interaction, and is the clue to the persons in the underlying social network who do not appear in the records. This contribution addresses a problem to predict relevant empty spots in social interaction. Homogeneous and inhomogeneous networks are studied as a model underlying the social interaction. A heuristic predictor function approach is presented as a new method to address the problem. Simulation experiment is demonstrated over a homogeneous network. A test data in the form of baskets is generated from the simulated communication. Precision to predict the empty spots is calculated to demonstrate the performance of the presented approach.




Abstract:This paper addresses a method to analyze the covert social network foundation hidden behind the terrorism disaster. It is to solve a node discovery problem, which means to discover a node, which functions relevantly in a social network, but escaped from monitoring on the presence and mutual relationship of nodes. The method aims at integrating the expert investigator's prior understanding, insight on the terrorists' social network nature derived from the complex graph theory, and computational data processing. The social network responsible for the 9/11 attack in 2001 is used to execute simulation experiment to evaluate the performance of the method.