



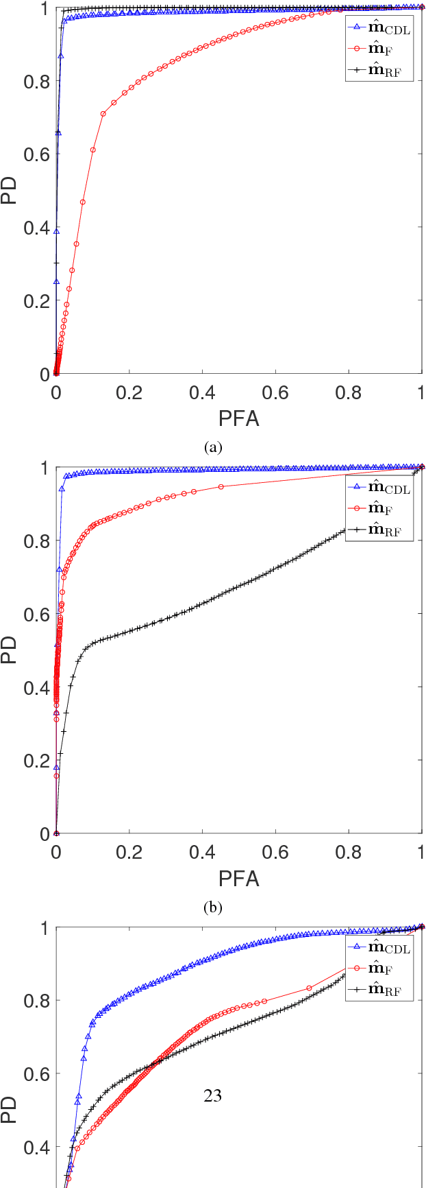
Abstract:Archetypal scenarios for change detection generally consider two images acquired through sensors of the same modality. However, in some specific cases such as emergency situations, the only images available may be those acquired through sensors with different characteristics. This paper addresses the problem of unsupervisedly detecting changes between two observed images acquired by different sensors. These sensor dissimilarities introduce additional issues in the context of operational change detection that are not addressed by most of classical methods. This paper introduces a novel framework to effectively exploit the available information by modeling the two observed images as a sparse linear combination of atoms belonging to an overcomplete pair of coupled dictionaries learnt from each observed image. As they cover the same geographical location, codes are expected to be globally similar except for possible changes in sparse spatial locations. Thus, the change detection task is envisioned through a dual code estimation which enforces spatial sparsity in the difference between the estimated codes associated with each image. This problem is formulated as an inverse problem which is iteratively solved using an efficient proximal alternating minimization algorithm accounting for nonsmooth and nonconvex functions. The proposed method is applied to real multisensor images with simulated yet realistic and real images. A comparison with state-of-the-art change detection methods evidences the accuracy of the proposed strategy.