Abstract:In this paper, a reconfigurable intelligent surface (RIS) assisted cell free massive MIMO (CFmMIMO) framework is designed to enhance physical layer security (PLS) and mitigate multi user (MU) interference in next generation wireless networks. A channel state information (CSI) based precoder is designed at the access point (AP) to suppress MU interference, enabling interference free reception for the legitimate users. To further enhance secrecy performance, we formulate a joint optimization problem that maximizes the secrecy sum rate using an alternating optimization (AO) framework, which iteratively updates the active beamforming at the AP, user power allocation, and the RIS phase shift matrix. The highly nonconvex problem is addressed under the Riemannian manifold optimization (RMO) framework and solved using a Riemannian Conjugate Gradient (RCG) algorithm for RIS phase shift design. Simulation results verify that the proposed framework effectively enhances the secrecy sum rate and eliminates interference, demonstrating its potential for secure and scalable CFmMIMO networks in dense wireless environments.




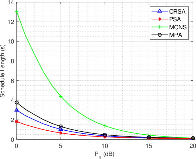
Abstract:In this paper, we investigate a novel minimum length scheduling problem to determine the optimal power control, and scheduling for constant and continuous rate models, while considering concurrent transmission of users, energy causality, maximum transmit power and traffic demand constraints. The formulated optimization problems are shown to be non-convex and combinatorial in nature, thus, difficult to solve for the global optimum. As a solution strategy, first, we propose optimal polynomial time algorithms for the power control problem considering constant and continuous rate models based on the evaluation of Perron-Frobenius conditions and usage of bisection method, respectively. Then, the proposed optimal power control solutions are used to determine the optimal transmission time for a subset of users that will be scheduled by the scheduling algorithms. For the constant rate scheduling problem, we propose a heuristic algorithm that aims to maximize the number of concurrently transmitting users by maximizing the allowable interference on each user without violating the signal-to-noise-ratio (SNR) requirements. For the continuous rate scheduling problem, we define a penalty function representing the advantage of concurrent transmission over individual transmission of the users. Following the optimality analysis of the penalty metric and demonstration of the equivalence between schedule length minimization and minimization of the sum of penalties, we propose a heuristic algorithm based on the allocation of the concurrently transmitting users with the goal of minimizing the sum penalties over the schedule. Through extensive simulations, we demonstrate that the proposed algorithm outperforms the successive transmission and concurrent transmission of randomly selected users for different HAP transmit powers, network densities and network size.