



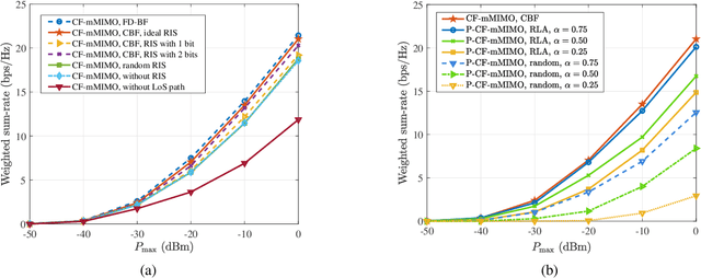
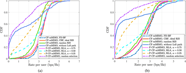
Abstract:The combination of cell-free massive multiple-input multiple-output (CF-mMIMO) and reconfigurable intelligent surface (RIS) is envisioned as a promising paradigm to improve network capacity and enhance coverage capability. However, to reap full benefits of RIS-aided CF-mMIMO, the main challenge is to efficiently design cooperative beamforming (CBF) at base stations (BSs), RISs, and users. Firstly, we investigate the fractional programing to convert the weighted sum-rate (WSR) maximization problem into a tractable optimization problem. Then, the alternating optimization framework is employed to decompose the transformed problem into a sequence of subproblems, i.e., hybrid BF (HBF) at BSs, passive BF at RISs, and combining at users. In particular, the alternating direction method of multipliers algorithm is utilized to solve the HBF subproblem at BSs. Concretely, the analog BF design with unit-modulus constraints is solved by the manifold optimization (MO) while we obtain a closed-form solution to the digital BF design that is essentially a convex least-square problem. Additionally, the passive BF at RISs and the analog combining at users are designed by primal-dual subgradient and MO methods. Moreover, considering heavy communication costs in conventional CF-mMIMO systems, we propose a partially-connected CF-mMIMO (P-CF-mMIMO) framework to decrease the number of connections among BSs and users. To better compromise WSR performance and network costs, we formulate the BS selection problem in the P-CF-mMIMO system as a binary integer quadratic programming (BIQP) problem, and develop a relaxed linear approximation algorithm to handle this BIQP problem. Finally, numerical results demonstrate superiorities of our proposed algorithms over baseline counterparts.




Abstract:Reconfigurable intelligent surface (RIS) and hybrid beamforming have been envisioned as promising alternatives to alleviate blockage vulnerability and enhance coverage capability for terahertz (THz) multi-user multiple-input multiple-output systems that suffer from severe propagation attenuation and poor diffraction. Considering that the joint beamforming with large-scale array elements at transceivers and RIS is extremely complicated, the codebook based beamforming can be employed in a computationally efficient manner. However, the codeword selection for analog beamforming is an intractable combinatorial optimization (CO) problem. To this end, an iterative alternating search (IAS) algorithm is developed to achieve a near-optimal sum-rate performance with low computational complexity in contrast with the optimal exhaustive search algorithm. According to the THz channel dataset generated by the IAS algorithm, a multi-task learning based analog beam selection (MTL-ABS) framework is developed to further decrease the computation overhead. Specifically, we take the CO problem as a multi-task classification problem and implement multiple beam selection tasks at transceivers and RIS simultaneously. Remarkably, residual network and self-attention mechanism are used to combat the network degradation and mine intrinsic THz channel features. Finally, blockwise convergence analysis and numerical results demonstrate the effectiveness of the MTL-ABS framework over search based counterparts.




Abstract:Terahertz (THz) communications have been envisioned as a promising enabler to provide ultra-high data transmission for sixth generation (6G) wireless networks. To tackle the blockage vulnerability brought by severe attenuation and poor diffraction of THz waves, a nanoscale reconfigurable intelligent surface (NRIS) is developed to smartly manipulate the propagation directions of incident THz waves. In this paper, the electric properties of the graphene are investigated by revealing the relationship between conductivity and applied voltages, and then an efficient hardware structure of electrically-controlled NRIS is designed based on Fabry-Perot resonance model. Particularly, the phase response of NRIS can be programmed up to 306.82 degrees. To analyze the hardware performance, we jointly design the passive and active beamforming for NRIS aided THz communication system. Particularly, an adaptive gradient descent (A-GD) algorithm is developed to optimize the phase shift matrix of NRIS by dynamically updating the step size during the iterative process. Finally, numerical results demonstrate the effectiveness of our designed hardware architecture as well as the developed algorithm.