



Abstract:In this paper, we consider the ChannelComp framework, where multiple transmitters aim to compute a function of their values at a common receiver while using digital modulations over a multiple access channel. ChannelComp provides a general framework for computation by designing digital constellations for over-the-air computation. Currently, ChannelComp uses a symbol-level encoding. However, encoding repeated transmissions of the same symbol and performing the function computation using the corresponding received sequence may significantly improve the computation performance and reduce the encoding complexity. In this paper, we propose a new scheme where each transmitter repeats the transmission of the same symbol over multiple time slots while encoding such repetitions and designing constellation diagrams to minimize computational errors. We formally model such a scheme by an optimization problem, whose solution jointly identifies the constellation diagram and the repetition code. We call the proposed scheme ReMAC. To manage the computational complexity of the optimization, we divide it into two tractable subproblems. We verify the performance of ReMAC by numerical experiments. The simulation results reveal that ReMAC can reduce the computation error in noisy and fading channels by approximately up to 7.5$dB compared to standard ChannelComp, particularly for product functions.




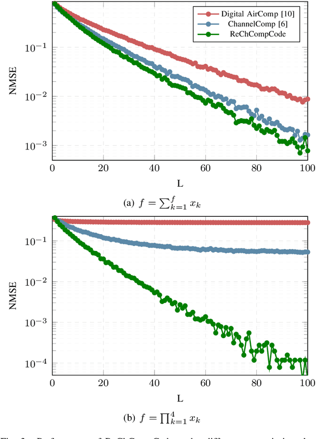
Abstract:In this paper, we consider the ChannelComp framework, which facilitates the computation of desired functions by multiple transmitters over a common receiver using digital modulations across a multiple access channel. While ChannelComp currently offers a broad framework for computation by designing digital constellations for over-the-air computation and employing symbol-level encoding, encoding the repeated transmissions of the same symbol and using the corresponding received sequence may significantly improve the computation performance and reduce the encoding complexity. In this paper, we propose an enhancement involving the encoding of the repetitive transmission of the same symbol at each transmitter over multiple time slots and the design of constellation diagrams, with the aim of minimizing computational errors. We frame this enhancement as an optimization problem, which jointly identifies the constellation diagram and the channel code for repetition, which we call ReChCompCode. To manage the computational complexity of the optimization, we divide it into two tractable subproblems. Through numerical experiments, we evaluate the performance of ReChCompCode. The simulation results reveal that ReChCompCode can reduce the computation error by approximately up to 30 dB compared to standard ChannelComp, particularly for product functions.