Xi'an, Shaanxi, China



Abstract:The designing of efficient signal detectors is important and yet challenge for orthogonal time frequency space (OTFS) systems in high-mobility scenarios. In this letter, we develop an efficient message feedback interference cancellation aided unitary approximate message passing (denoted as UAMPMFIC) iterative detector, where the latest feedback messages from variable nodes are utilized for more reliable interference cancellation and performance improvement. A fast recursive scheme is leveraged in the proposed UAMP-MFIC detector to prevent complexity increasing. To further alleviate the error-propagation and improve the receiver performance, we also develop the bidirectional symbol detection structures, where Turbo UAMP-MFIC detector and iterative weight UAMP-MFIC detector are proposed to efficiently fuse the estimation results of forward and backward UAMP-MFIC detectors. The simulation results are finally provided to demonstrate performance improvement of our proposed detectors over existing detectors.




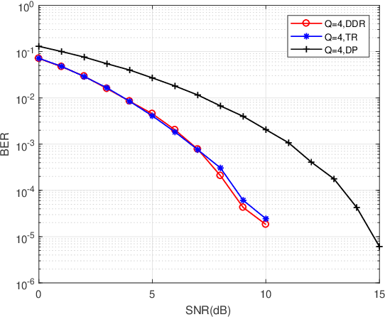
Abstract:The recent proposed orthogonal time frequency space (OTFS) modulation shows signifcant advantages than conventional orthogonal frequency division multiplexing (OFDM) for high mobility wireless communications. However, a challenging problem is the development of effcient receivers for practical OTFS systems with low complexity. In this paper, we propose a novel delay-Doppler reversal (DDR) technology for OTFS system with desired performance and low complexity. We present the DDR technology from a perspective of two-dimensional cascaded channel model, analyze its computational complexity and also analyze its performance gain compared to the direct processing (DP) receiver without DDR. Simulation results demonstrate that our proposed DDR receiver outperforms traditional receivers in doubly-selective fading channels.