



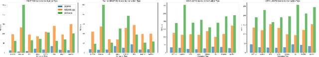
Abstract:In our contemporary academic inquiry, we present "Diffusion-C," a foundational methodology to analyze the generative restrictions of Diffusion Models, particularly those akin to GANs, DDPM, and DDIM. By employing input visual data that has been subjected to a myriad of corruption modalities and intensities, we elucidate the performance characteristics of those Diffusion Models. The noise component takes center stage in our analysis, hypothesized to be a pivotal element influencing the mechanics of deep learning systems. In our rigorous expedition utilizing Diffusion-C, we have discerned the following critical observations: (I) Within the milieu of generative models under the Diffusion taxonomy, DDPM emerges as a paragon, consistently exhibiting superior performance metrics. (II) Within the vast spectrum of corruption frameworks, the fog and fractal corruptions notably undermine the functional robustness of both DDPM and DDIM. (III) The vulnerability of Diffusion Models to these particular corruptions is significantly influenced by topological and statistical similarities, particularly concerning the alignment between mean and variance. This scholarly work highlights Diffusion-C's core understandings regarding the impacts of various corruptions, setting the stage for future research endeavors in the realm of generative models.