



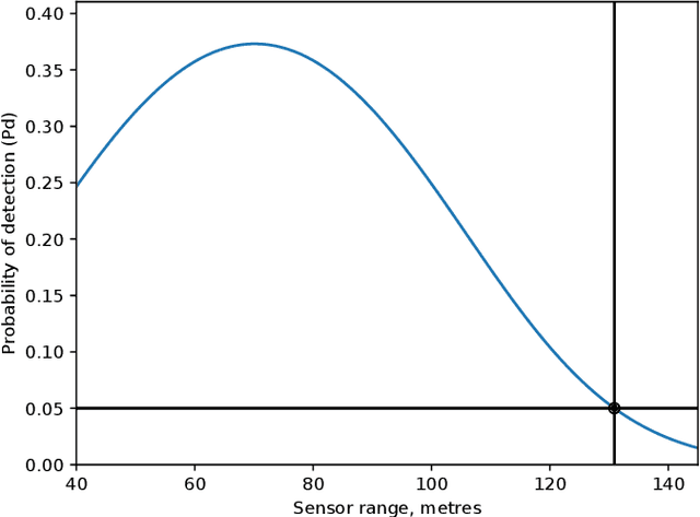
Abstract:In this paper we address the mine countermeasures (MCM) search problem for an autonomous underwater vehicle (AUV) surveying the seabed using a side-looking sonar. We propose a coverage path planning method that adapts the AUV track spacing with the objective of collecting better data. We achieve this by shifting the coverage overlap at the tail of the sensor range where the lowest data quality is expected. To assess the algorithm, we collected data from three at-sea experiments. The adaptive survey allowed the AUV to recover from a situation where the sensor range was overestimated and resulted in reducing area coverage gaps. In another experiment,the adaptive survey showed a 4.2% improvement in data quality for nearly 30% of the 'worst' data.




Abstract:Marine and Underwater resources are important part of the economy of many countries. This requires significant financial resources into their construction and maintentance. Robotics is expected to fill this void, by automating and/or removing humans from hostile environments in order to easily perform maintenance tasks. The Robocademy Marie Sklodowska-Curie Initial Training Network was funded by the European Union's FP7 research program in order to train 13 Fellows into world-leading researchers in Marine and Underwater Robotics. The fellows developed guided research into three areas of key importance: Autonomy, Disturbance Rejection, and Perception. This paper presents a summary of the fellows' research in the three action lines. 71 scientific publications were the primary result of this project, with many other publications currently in the pipeline. Most of the fellows have found employment in Europe, which shows the high demand for this kind of experts. We believe the results from this project are already having an impact in the marine robotics industry, as key technologies are being adopted already.