Abstract:In CT angiography, the accurate segmentation of abdominal aortic aneurysms (AAAs) is difficult due to large anatomical variability, low-contrast vessel boundaries, and the close proximity of organs whose intensities resemble vascular structures, often leading to false positives. To address these challenges, we propose an anatomy-aware segmentation framework that integrates organ exclusion masks derived from TotalSegmentator into the training process. These masks encode explicit anatomical priors by identifying non-vascular organsand penalizing aneurysm predictions within these regions, thereby guiding the U-Net to focus on the aorta and its pathological dilation while suppressing anatomically implausible predictions. Despite being trained on a relatively small dataset, the anatomy-aware model achieves high accuracy, substantially reduces false positives, and improves boundary consistency compared to a standard U-Net baseline. The results demonstrate that incorporating anatomical knowledge through exclusion masks provides an efficient mechanism to enhance robustness and generalization, enabling reliable AAA segmentation even with limited training data.




Abstract:We propose a deep product-unit residual neural network (PURe) that integrates product units into residual blocks to improve the expressiveness and parameter efficiency of deep convolutional networks. Unlike standard summation neurons, product units enable multiplicative feature interactions, potentially offering a more powerful representation of complex patterns. PURe replaces conventional convolutional layers with 2D product units in the second layer of each residual block, eliminating nonlinear activation functions to preserve structural information. We validate PURe on three benchmark datasets. On Galaxy10 DECaLS, PURe34 achieves the highest test accuracy of 84.89%, surpassing the much deeper ResNet152, while converging nearly five times faster and demonstrating strong robustness to Poisson noise. On ImageNet, PURe architectures outperform standard ResNet models at similar depths, with PURe34 achieving a top-1 accuracy of 80.27% and top-5 accuracy of 95.78%, surpassing deeper ResNet variants (ResNet50, ResNet101) while utilizing significantly fewer parameters and computational resources. On CIFAR-10, PURe consistently outperforms ResNet variants across varying depths, with PURe272 reaching 95.01% test accuracy, comparable to ResNet1001 but at less than half the model size. These results demonstrate that PURe achieves a favorable balance between accuracy, efficiency, and robustness. Compared to traditional residual networks, PURe not only achieves competitive classification performance with faster convergence and fewer parameters, but also demonstrates greater robustness to noise. Its effectiveness across diverse datasets highlights the potential of product-unit-based architectures for scalable and reliable deep learning in computer vision.




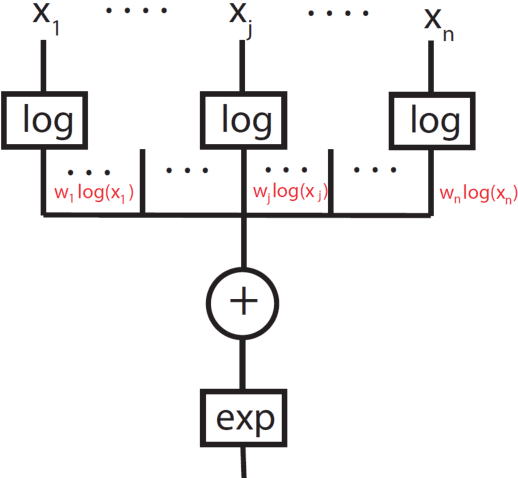
Abstract:Accurate estimation of nuclear masses and their prediction beyond the experimentally explored domains of the nuclear landscape are crucial to an understanding of the fundamental origin of nuclear properties and to many applications of nuclear science, most notably in quantifying the $r$-process of stellar nucleosynthesis. Neural networks have been applied with some success to the prediction of nuclear masses, but they are known to have shortcomings in application to extrapolation tasks. In this work, we propose and explore a novel type of neural network for mass prediction in which the usual neuron-like processing units are replaced by complex-valued product units that permit multiplicative couplings of inputs to be learned from the input data. This generalized network model is tested on both interpolation and extrapolation data sets drawn from the Atomic Mass Evaluation. Its performance is compared with that of several neural-network architectures, substantiating its suitability for nuclear mass prediction. Additionally, a prediction-uncertainty measure for such complex-valued networks is proposed that serves to identify regions of expected low prediction error.