



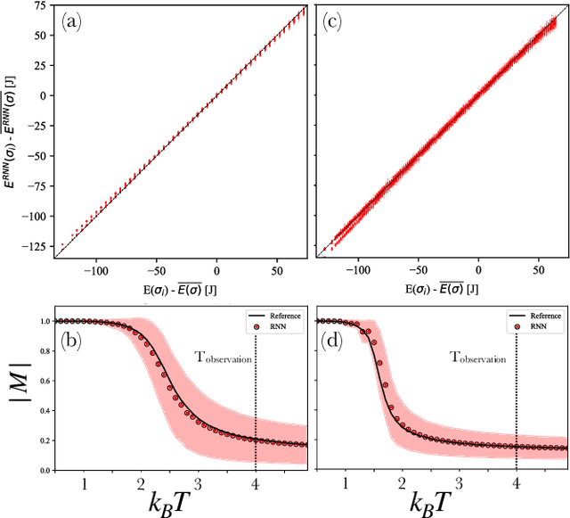
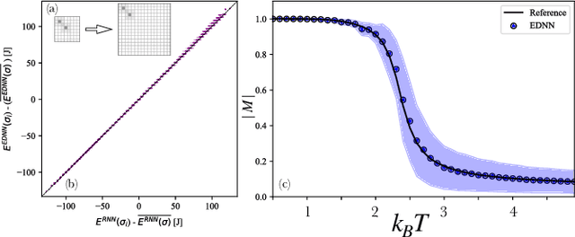
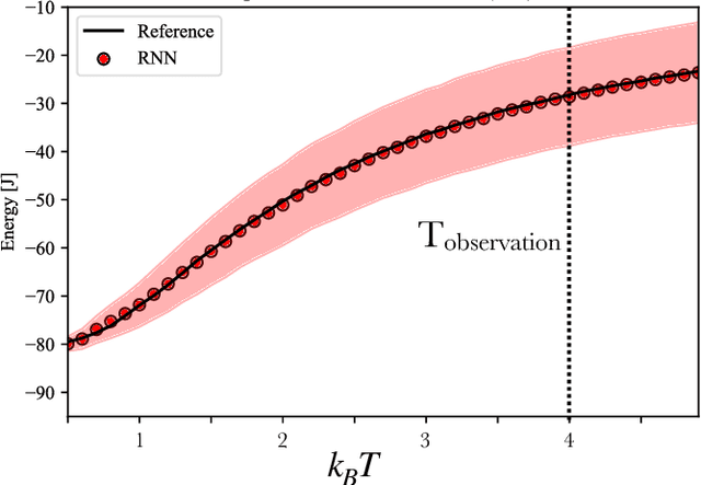
Abstract:Transfer learning refers to the use of knowledge gained while solving a machine learning task and applying it to the solution of a closely related problem. Such an approach has enabled scientific breakthroughs in computer vision and natural language processing where the weights learned in state-of-the-art models can be used to initialize models for other tasks which dramatically improve their performance and save computational time. Here we demonstrate an unsupervised learning approach augmented with basic physical principles that achieves fully transferrable learning for problems in statistical physics across different physical regimes. By coupling a sequence model based on a recurrent neural network to an extensive deep neural network, we are able to learn the equilibrium probability distributions and inter-particle interaction models of classical statistical mechanical systems. Our approach, distribution-consistent learning, DCL, is a general strategy that works for a variety of canonical statistical mechanical models (Ising and Potts) as well as disordered (spin-glass) interaction potentials. Using data collected from a single set of observation conditions, DCL successfully extrapolates across all temperatures, thermodynamic phases, and can be applied to different length-scales. This constitutes a fully transferrable physics-based learning in a generalizable approach.