



Abstract:We propose a new, simple, and computationally inexpensive termination test for constant step-size stochastic gradient descent (SGD) applied to binary classification on the logistic and hinge loss with homogeneous linear predictors. Our theoretical results support the effectiveness of our stopping criterion when the data is Gaussian distributed. This presence of noise allows for the possibility of non-separable data. We show that our test terminates in a finite number of iterations and when the noise in the data is not too large, the expected classifier at termination nearly minimizes the probability of misclassification. Finally, numerical experiments indicate for both real and synthetic data sets that our termination test exhibits a good degree of predictability on accuracy and running time.
Abstract:The low-rank matrix approximation problem with respect to the component-wise $\ell_1$-norm ($\ell_1$-LRA), which is closely related to robust principal component analysis (PCA), has become a very popular tool in data mining and machine learning. Robust PCA aims at recovering a low-rank matrix that was perturbed with sparse noise, with applications for example in foreground-background video separation. Although $\ell_1$-LRA is strongly believed to be NP-hard, there is, to the best of our knowledge, no formal proof of this fact. In this paper, we prove that $\ell_1$-LRA is NP-hard, already in the rank-one case, using a reduction from MAX CUT. Our derivations draw interesting connections between $\ell_1$-LRA and several other well-known problems, namely, robust PCA, $\ell_0$-LRA, binary matrix factorization, a particular densest bipartite subgraph problem, the computation of the cut norm of $\{-1,+1\}$ matrices, and the discrete basis problem, which we all prove to be NP-hard.




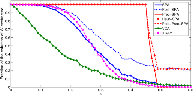
Abstract:Nonnegative matrix factorization (NMF) under the separability assumption can provably be solved efficiently, even in the presence of noise, and has been shown to be a powerful technique in document classification and hyperspectral unmixing. This problem is referred to as near-separable NMF and requires that there exists a cone spanned by a small subset of the columns of the input nonnegative matrix approximately containing all columns. In this paper, we propose a preconditioning based on semidefinite programming making the input matrix well-conditioned. This in turn can improve significantly the performance of near-separable NMF algorithms which is illustrated on the popular successive projection algorithm (SPA). The new preconditioned SPA is provably more robust to noise, and outperforms SPA on several synthetic data sets. We also show how an active-set method allow us to apply the preconditioning on large-scale real-world hyperspectral images.




Abstract:In this paper, we study the nonnegative matrix factorization problem under the separability assumption (that is, there exists a cone spanned by a small subset of the columns of the input nonnegative data matrix containing all columns), which is equivalent to the hyperspectral unmixing problem under the linear mixing model and the pure-pixel assumption. We present a family of fast recursive algorithms, and prove they are robust under any small perturbations of the input data matrix. This family generalizes several existing hyperspectral unmixing algorithms and hence provides for the first time a theoretical justification of their better practical performance.