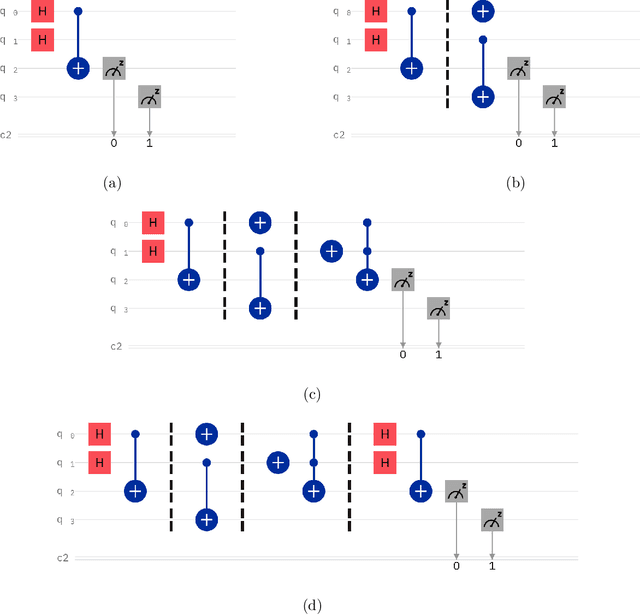
Abstract:Quantum Diffusion Models (QDMs) are an emerging paradigm in Generative AI that aims to use quantum properties to improve the performances of their classical counterparts. However, existing algorithms are not easily scalable due to the limitations of near-term quantum devices. Following our previous work on QDMs, here we propose and implement two physics-inspired protocols. In the first, we use the formalism of quantum stochastic walks, showing that a specific interplay of quantum and classical dynamics in the forward process produces statistically more robust models generating sets of MNIST images with lower Fr\'echet Inception Distance (FID) than using totally classical dynamics. In the second approach, we realize an algorithm to generate images by exploiting the intrinsic noise of real IBM quantum hardware with only four qubits. Our work could be a starting point to pave the way for new scenarios for large-scale algorithms in quantum Generative AI, where quantum noise is neither mitigated nor corrected, but instead exploited as a useful resource.
Abstract:The availability of data is limited in some fields, especially for object detection tasks, where it is necessary to have correctly labeled bounding boxes around each object. A notable example of such data scarcity is found in the domain of marine biology, where it is useful to develop methods to automatically detect submarine species for environmental monitoring. To address this data limitation, the state-of-the-art machine learning strategies employ two main approaches. The first involves pretraining models on existing datasets before generalizing to the specific domain of interest. The second strategy is to create synthetic datasets specifically tailored to the target domain using methods like copy-paste techniques or ad-hoc simulators. The first strategy often faces a significant domain shift, while the second demands custom solutions crafted for the specific task. In response to these challenges, here we propose a transfer learning framework that is valid for a generic scenario. In this framework, generated images help to improve the performances of an object detector in a few-real data regime. This is achieved through a diffusion-based generative model that was pretrained on large generic datasets, and is not trained on the task-specific domain. We validate our approach on object detection tasks, specifically focusing on fishes in an underwater environment, and on the more common domain of cars in an urban setting. Our method achieves detection performance comparable to models trained on thousands of images, using only a few hundreds of input data. Our results pave the way for new generative AI-based protocols for machine learning applications in various domains, for instance ranging from geophysics to biology and medicine.
Abstract:Geometric deep learning refers to the scenario in which the symmetries of a dataset are used to constrain the parameter space of a neural network and thus, improve their trainability and generalization. Recently this idea has been incorporated into the field of quantum machine learning, which has given rise to equivariant quantum neural networks (EQNNs). In this work, we investigate the role of classical-to-quantum embedding on the performance of equivariant quantum convolutional neural networks (EQCNNs) for the classification of images. We discuss the connection between the data embedding method and the resulting representation of a symmetry group and analyze how changing representation affects the expressibility of an EQCNN. We numerically compare the classification accuracy of EQCNNs with three different basis-permuted amplitude embeddings to the one obtained from a non-equivariant quantum convolutional neural network (QCNN). Our results show that all the EQCNNs achieve higher classification accuracy than the non-equivariant QCNN for small numbers of training iterations, while for large iterations this improvement crucially depends on the used embedding. It is expected that the results of this work can be useful to the community for a better understanding of the importance of data embedding choice in the context of geometric quantum machine learning.
Abstract:Generative models realized with machine learning techniques are powerful tools to infer complex and unknown data distributions from a finite number of training samples in order to produce new synthetic data. Diffusion models are an emerging framework that have recently overcome the performance of the generative adversarial networks in creating synthetic text and high-quality images. Here, we propose and discuss the quantum generalization of diffusion models, i.e., three quantum-noise-driven generative diffusion models that could be experimentally tested on real quantum systems. The idea is to harness unique quantum features, in particular the non-trivial interplay among coherence, entanglement and noise that the currently available noisy quantum processors do unavoidably suffer from, in order to overcome the main computational burdens of classical diffusion models during inference. Hence, we suggest to exploit quantum noise not as an issue to be detected and solved but instead as a very remarkably beneficial key ingredient to generate much more complex probability distributions that would be difficult or even impossible to express classically, and from which a quantum processor might sample more efficiently than a classical one. Therefore, our results are expected to pave the way for new quantum-inspired or quantum-based generative diffusion algorithms addressing more powerfully classical tasks as data generation/prediction with widespread real-world applications ranging from climate forecasting to neuroscience, from traffic flow analysis to financial forecasting.
Abstract:Neutral atoms devices represent a promising technology that uses optical tweezers to geometrically arrange atoms and modulated laser pulses to control the quantum states. A neutral atoms Noisy Intermediate Scale Quantum (NISQ) device is developed by Pasqal with rubidium atoms that will allow to work with up to 100 qubits. All NISQ devices are affected by noise that have an impact on the computations results. Therefore it is important to better understand and characterize the noise sources and possibly to correct them. Here, two approaches are proposed to characterize and correct noise parameters on neutral atoms NISQ devices. In particular the focus is on Pasqal devices and Machine Learning (ML) techniques are adopted to pursue those objectives. To characterize the noise parameters, several ML models are trained, using as input only the measurements of the final quantum state of the atoms, to predict laser intensity fluctuation and waist, temperature and false positive and negative measurement rate. Moreover, an analysis is provided with the scaling on the number of atoms in the system and on the number of measurements used as input. Also, we compare on real data the values predicted with ML with the a priori estimated parameters. Finally, a Reinforcement Learning (RL) framework is employed to design a pulse in order to correct the effect of the noise in the measurements. It is expected that the analysis performed in this work will be useful for a better understanding of the quantum dynamic in neutral atoms devices and for the widespread adoption of this class of NISQ devices.
Abstract:The undesired interaction of a quantum system with its environment generally leads to a coherence decay of superposition states in time. A precise knowledge of the spectral content of the noise induced by the environment is crucial to protect qubit coherence and optimize its employment in quantum device applications. We experimentally show that the use of neural networks can highly increase the accuracy of noise spectroscopy, by reconstructing the power spectral density that characterizes an ensemble of carbon impurities around a nitrogen-vacancy (NV) center in diamond. Neural networks are trained over spin coherence functions of the NV center subjected to different Carr-Purcell sequences, typically used for dynamical decoupling (DD). As a result, we determine that deep learning models can be more accurate than standard DD noise-spectroscopy techniques, by requiring at the same time a much smaller number of DD sequences.




Abstract:One of the most promising applications of quantum computing is the processing of graphical data like images. Here, we investigate the possibility of realizing a quantum pattern recognition protocol based on swap test, and use the IBMQ noisy intermediate-scale quantum (NISQ) devices to verify the idea. We find that with a two-qubit protocol, swap test can efficiently detect the similarity between two patterns with good fidelity, though for three or more qubits the noise in the real devices becomes detrimental. To mitigate this noise effect, we resort to destructive swap test, which shows an improved performance for three-qubit states. Due to limited cloud access to larger IBMQ processors, we take a segment-wise approach to apply the destructive swap test on higher dimensional images. In this case, we define an average overlap measure which shows faithfulness to distinguish between two very different or very similar patterns when simulated on real IBMQ processors. As test images, we use binary images with simple patterns, greyscale MNIST numbers and MNIST fashion images, as well as binary images of human blood vessel obtained from magnetic resonance imaging (MRI). We also present an experimental set up for applying destructive swap test using the nitrogen vacancy centre (NVs) in diamond. Our experimental data show high fidelity for single qubit states. Lastly, we propose a protocol inspired from quantum associative memory, which works in an analogous way to supervised learning for performing quantum pattern recognition using destructive swap test.


Abstract:In this paper we present the high-level functionalities of a quantum-classical machine learning software, whose purpose is to learn the main features (the fingerprint) of quantum noise sources affecting a quantum device, as a quantum computer. Specifically, the software architecture is designed to classify successfully (more than 99% of accuracy) the noise fingerprints in different quantum devices with similar technical specifications, or distinct time-dependences of a noise fingerprint in single quantum machines.




Abstract:Noise sources unavoidably affect any quantum technological device. Noise's main features are expected to strictly depend on the physical platform on which the quantum device is realized, in the form of a distinguishable fingerprint. Noise sources are also expected to evolve and change over time. Here, we first identify and then characterize experimentally the noise fingerprint of IBM cloud-available quantum computers, by resorting to machine learning techniques designed to classify noise distributions using time-ordered sequences of measured outcome probabilities.




Abstract:In this paper, machine learning and artificial neural network models are proposed for quantum noise classification in stochastic quantum dynamics. For this purpose, we train and then validate support vector machine, multi-layer perceptron and recurrent neural network, models with different complexity and accuracy, to solve supervised binary classification problems. By exploiting the quantum random walk formalism, we demonstrate the high efficacy of such tools in classifying noisy quantum dynamics using data sets collected in a single realisation of the quantum system evolution. In addition, we also show that for a successful classification one just needs to measure, in a sequence of discrete time instants, the probabilities that the analysed quantum system is in one of the allowed positions or energy configurations, without any external driving. Thus, neither measurements of quantum coherences nor sequences of control pulses are required. Since in principle the training of the machine learning models can be performed a-priori on synthetic data, our approach is expected to find direct application in a vast number of experimental schemes and also for the noise benchmarking of the already available noisy intermediate-scale quantum devices.