Nokia Bell Labs, Aalto University




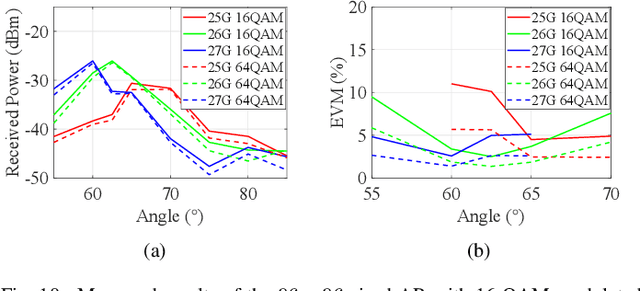
Abstract:In this study, we elaborate on the concept of scalable anomalous reflector (AR) to analyze the angular response, frequency response, and spatial scalability of a designed AR across a broad range of angles and frequencies. We utilize theoretical models and ray tracing simulations to investigate the communication performance of two different-sized scalable finite ARs, one smaller configuration with 48 x 48 array of unit cells and the other constructed by combining four smaller ARs to form a larger array with 96 x 96 unit cells. To validate the developed theoretical approach, we conducted measurements in an auditorium to evaluate the received power through an AR link at different angles and frequencies. In addition, models of scalable deflectors are implemented in the MATLAB ray tracer to simulate the measurement scenario. The results from theoretical calculations and ray tracing simulations achieve good agreement with measurement results.




Abstract:In this paper, we systematically study the electromagnetic (EM) and communication aspects of an RIS through EM simulations, system-level and ray-tracing simulations, and finally measurements. We simulate a nearly perfect, lossless RIS, and a realistic lossy anomalous reflector (AR) in different ray tracers and analyze the large-scale fading of simple RIS-assisted links. We also compare the results with continuous and quantized unit cell reflection phases with one to four-bit resolutions. Finally, we perform over-the-air communication link measurements in an indoor setting with a manufactured sample of a wide-angle AR. The EM, system-level, and ray-tracing simulation results show good agreement with the measurement results. It is proved that the introduced macroscopic model of RIS from the EM aspects is consistent with our proposed communication models, both for an ideal RIS and a realistic AR.