



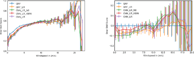
Abstract:Current statistical post-processing methods for probabilistic weather forecasting are not capable of using full spatial patterns from the numerical weather prediction (NWP) model. In this paper we incorporate spatial wind speed information by using convolutional neural networks (CNNs) and obtain probabilistic wind speed forecasts in the Netherlands for 48 hours ahead, based on KNMI's Harmonie-Arome NWP model. The CNNs are shown to have higher Brier skill scores for medium to higher wind speeds, as well as a better continuous ranked probability score (CRPS), than fully connected neural networks and quantile regression forests.