



Abstract:The pivotal storage density win achieved by solid-state devices over magnetic devices recently is a result of multiple innovations in physics, architecture, and signal processing. Constrained coding is used in Flash devices to increase reliability via mitigating inter-cell interference. Recently, capacity-achieving constrained codes were introduced to serve that purpose. While these codes result in minimal redundancy, they result in non-negligible complexity increase and access speed limitation since pages cannot be read separately. In this paper, we suggest new constrained coding schemes that have low-complexity and preserve the desirable high access speed in modern Flash devices. The idea is to eliminate error-prone patterns by coding data either only on the left-most page (binary coding) or only on the two left-most pages ($4$-ary coding) while leaving data on all the remaining pages uncoded. Our coding schemes are systematic and capacity-approaching. We refer to the proposed schemes as read-and-run (RR) constrained coding schemes. The $4$-ary RR coding scheme is introduced to limit the rate loss. We analyze the new RR coding schemes and discuss their impact on the probability of occurrence of different charge levels. We also demonstrate the performance improvement achieved via RR coding on a practical triple-level cell Flash device.




Abstract:Understanding the NAND flash memory channel has become more and more challenging due to the continually increasing density and the complex distortions arising from the write and read mechanisms. In this work, we propose a data-driven generative modeling method to characterize the flash memory channel. The learned model can reconstruct the read voltage from an individual memory cell based on the program levels of the cell and its surrounding array of cells. Experimental results show that the statistical distribution of the reconstructed read voltages accurately reflects the measured distribution on a commercial flash memory chip, both qualitatively and as quantified by the total variation distance. Moreover, we observe that the learned model can capture precise inter-cell interference (ICI) effects, as verified by comparison of the error probabilities of specific patterns in wordlines and bitlines.




Abstract:The pivotal storage density win achieved by solid-state devices over magnetic devices in 2015 is a result of multiple innovations in physics, architecture, and signal processing. One of the most important innovations in that regard is enabling the storage of more than one bit per cell in the Flash device, i.e., having more than two charge levels per cell. Constrained coding is used in Flash devices to increase reliability via mitigating inter-cell interference that stems from charge propagation among cells. Recently, capacity-achieving constrained codes were introduced to serve that purpose in modern Flash devices, which have more than two levels per cell. While these codes result in minimal redundancy via exploiting the underlying physics, they result in non-negligible complexity increase and access speed limitation since pages cannot be read separately. In this paper, we suggest new constrained coding schemes that have low-complexity and preserve the desirable high access speed in modern Flash devices. The idea is to eliminate error-prone patterns by coding data only on the left-most page while leaving data on all the remaining pages uncoded. Our coding schemes work for any number of levels per cell, offer systematic encoding and decoding, and are capacity-approaching. Since the proposed schemes enable the separation of pages, we refer to them as read-and-run (RR) constrained coding schemes as opposed to schemes adopting read-and-wait for other pages. We analyze the new RR coding schemes and discuss their impact on the probability of occurrence of different charge levels. We also demonstrate the performance improvement achieved via RR coding on a practical triple-level cell Flash device.




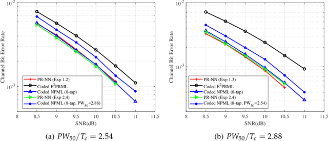
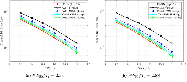
Abstract:In this paper, we investigate the use of recurrent neural network (RNN)-based detection of magnetic recording channels with inter-symbol interference (ISI). We refer to the proposed detection method, which is intended for recording channels with partial-response equalization, as Partial-Response Neural Network (PR-NN). We train bi-directional gated recurrent units (bi-GRUs) to recover the ISI channel inputs from noisy channel output sequences and evaluate the network performance when applied to continuous, streaming data. The computational complexity of PR-NN during the evaluation process is comparable to that of a Viterbi detector. The recording system on which the experiments were conducted uses a rate-2/3, (1,7) runlength-limited (RLL) code with an E2PR4 partial-response channel target. Experimental results with ideal PR signals show that the performance of PR-NN detection approaches that of Viterbi detection in additive white gaussian noise (AWGN). Moreover, the PR-NN detector outperforms Viterbi detection and achieves the performance of Noise-Predictive Maximum Likelihood (NPML) detection in additive colored noise (ACN) at different channel densities. A PR-NN detector trained with both AWGN and ACN maintains the performance observed under separate training. Similarly, when trained with ACN corresponding to two different channel densities, PR-NN maintains its performance at both densities. Experiments confirm that this robustness is consistent over a wide range of signal-to-noise ratios (SNRs). Finally, PR-NN displays robust performance when applied to a more realistic magnetic recording channel with MMSE-equalized Lorentzian signals.