MIT



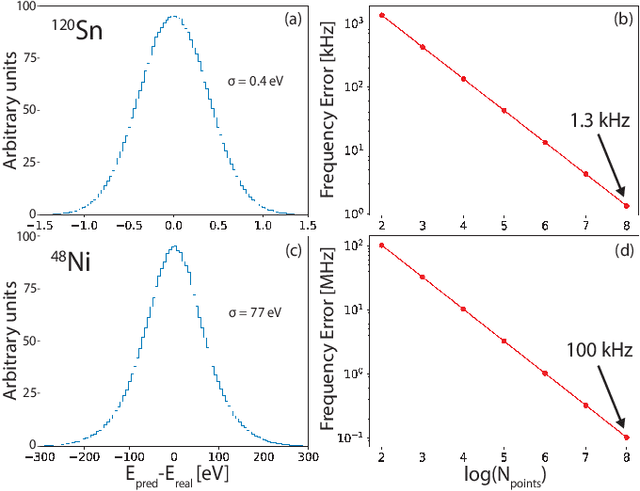
Abstract:We propose an experimental scheme for performing sensitive, high-precision laser spectroscopy studies on fast exotic isotopes. By inducing a step-wise resonant ionization of the atoms travelling inside an electric field and subsequently detecting the ion and the corresponding electron, time- and position-sensitive measurements of the resulting particles can be performed. Using a Mixture Density Network (MDN), we can leverage this information to predict the initial energy of individual atoms and thus apply a Doppler correction of the observed transition frequencies on an event-by-event basis. We conduct numerical simulations of the proposed experimental scheme and show that kHz-level uncertainties can be achieved for ion beams produced at extreme temperatures ($> 10^8$ K), with energy spreads as large as $10$ keV and non-uniform velocity distributions. The ability to perform in-flight spectroscopy, directly on highly energetic beams, offers unique opportunities to studying short-lived isotopes with lifetimes in the millisecond range and below, produced in low quantities, in hot and highly contaminated environments, without the need for cooling techniques. Such species are of marked interest for nuclear structure, astrophysics, and new physics searches.




Abstract:We present an improved method for symbolic regression that seeks to fit data to formulas that are Pareto-optimal, in the sense of having the best accuracy for a given complexity. It improves on the previous state-of-the-art by typically being orders of magnitude more robust toward noise and bad data, and also by discovering many formulas that stumped previous methods. We develop a method for discovering generalized symmetries (arbitrary modularity in the computational graph of a formula) from gradient properties of a neural network fit. We use normalizing flows to generalize our symbolic regression method to probability distributions from which we only have samples, and employ statistical hypothesis testing to accelerate robust brute-force search.




Abstract:We present a method for unsupervised learning of equations of motion for objects in raw and optionally distorted unlabeled video. We first train an autoencoder that maps each video frame into a low-dimensional latent space where the laws of motion are as simple as possible, by minimizing a combination of non-linearity, acceleration and prediction error. Differential equations describing the motion are then discovered using Pareto-optimal symbolic regression. We find that our pre-regression ("pregression") step is able to rediscover Cartesian coordinates of unlabeled moving objects even when the video is distorted by a generalized lens. Using intuition from multidimensional knot-theory, we find that the pregression step is facilitated by first adding extra latent space dimensions to avoid topological problems during training and then removing these extra dimensions via principal component analysis.




Abstract:A core challenge for both physics and artificial intellicence (AI) is symbolic regression: finding a symbolic expression that matches data from an unknown function. Although this problem is likely to be NP-hard in principle, functions of practical interest often exhibit symmetries, separability, compositionality and other simplifying properties. In this spirit, we develop a recursive multidimensional symbolic regression algorithm that combines neural network fitting with a suite of physics-inspired techniques. We apply it to 100 equations from the Feynman Lectures on Physics, and it discovers all of them, while previous publicly available software cracks only 71; for a more difficult test set, we improve the state of the art success rate from 15% to 90%.