



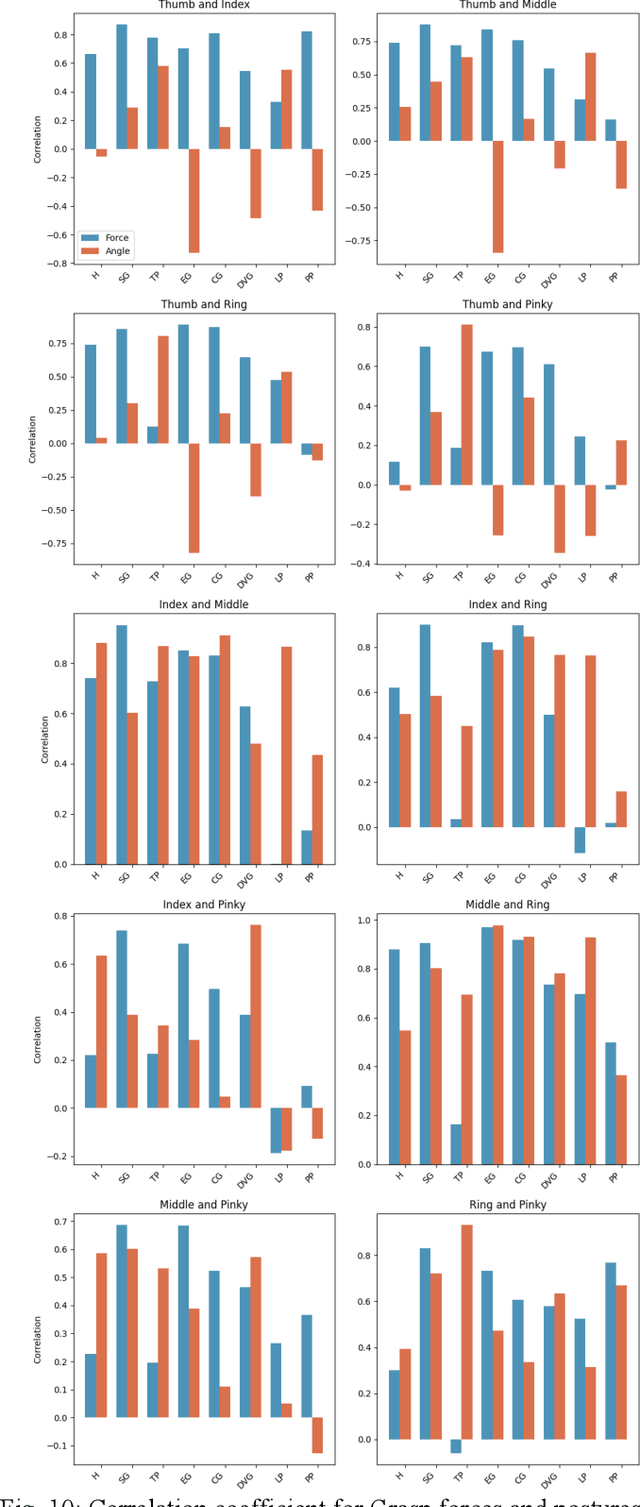
Abstract:Data gloves play a crucial role in study of human grasping, and could provide insights into grasp synergies. Grasp synergies lead to identification of underlying patterns to develop control strategies for hand exoskeletons. This paper presents the design and implementation of a data glove that has been enhanced with instrumentation and fabricated using 3D printing technology. The glove utilizes flexible sensors for the fingers and force sensors integrated into the glove at the fingertips to accurately capture grasp postures and forces. Understanding the kinematics and dynamics of human grasp including reach-to-grasp is undertaken. A comprehensive study involving 10 healthy subjects was conducted. Grasp synergy analysis is carried out to identify underlying patterns for robotic grasping. The t-SNE visualization showcased clusters of grasp postures and forces, unveiling similarities and patterns among different GTs. These findings could serve as a comprehensive guide in design and control of tendon-driven soft hand exoskeletons for rehabilitation applications, enabling the replication of natural hand movements and grasp forces.
Abstract:Grasp force synthesis is a non-convex optimization problem involving constraints that are bilinear. Traditional approaches to this problem involve general-purpose gradient-based nonlinear optimization and semi-definite programming. With a view towards dealing with postural synergies and non-smooth but convex positive semidefinite constraints, we look beyond gradient-based optimization. The focus of this paper is to undertake a grasp analysis of biomimetic grasping in multi-fingered robotic hands as a bilinear matrix inequality (BMI) problem. Our analysis is to solve it using a deep learning approach to make the algorithm efficiently generate force closure grasps with optimal grasp quality on untrained/unseen objects.
Abstract:Achieving human-level dexterity in robotic grasping remains a challenging endeavor. Robotic hands frequently encounter slippage and deformation during object manipulation, issues rarely encountered by humans due to their sensory receptors, experiential learning, and motor memory. The emulation of the human grasping reflex within robotic hands is referred to as the ``bionic reflex". Past endeavors in the realm of bionic reflex control predominantly relied on model-based and supervised learning approaches, necessitating human intervention during thresholding and labeling tasks. In this study, we introduce an innovative bionic reflex control pipeline, leveraging reinforcement learning (RL); thereby eliminating the need for human intervention during control design. Our proposed bionic reflex controller has been designed and tested on an anthropomorphic hand, manipulating deformable objects in the PyBullet physics simulator, incorporating domain randomization (DR) for enhanced Sim2Real transferability. Our findings underscore the promise of RL as a potent tool for advancing bionic reflex control within anthropomorphic robotic hands. We anticipate that this autonomous, RL-based bionic reflex controller will catalyze the development of dependable and highly efficient robotic and prosthetic hands, revolutionizing human-robot interaction and assistive technologies.




Abstract:This paper presents a bionic reflex control strategy for a kinematically constrained robotic finger. Here, the bionic reflex is achieved through a force tracking impedance control strategy. The dynamic model of the finger is reduced subject to kinematic constraints. Thereafter, an impedance control strategy that allows exact tracking of forces is discussed. Simulation results for a single finger holding a rectangular object against a flat surface are presented. Bionic reflex response time is of the order of milliseconds.




Abstract:Retention of residual skills for persons who partially lose their cognitive or physical ability is of utmost importance. Research is focused on developing systems that provide need-based assistance for retention of such residual skills. This paper describes a novel cognitive collaborative control architecture C3A, designed to address the challenges of developing need- based assistance for wheelchair navigation. Organization of C3A is detailed and results from simulation of the proposed architecture is presented. For simulation of our proposed architecture, we have used ROS (Robot Operating System) as a control framework and a 3D robotic simulator called USARSim (Unified System for Automation and Robot Simulation).




Abstract:We present a comprehensive review of the most effective content-based e-mail spam filtering techniques. We focus primarily on Machine Learning-based spam filters and their variants, and report on a broad review ranging from surveying the relevant ideas, efforts, effectiveness, and the current progress. The initial exposition of the background examines the basics of e-mail spam filtering, the evolving nature of spam, spammers playing cat-and-mouse with e-mail service providers (ESPs), and the Machine Learning front in fighting spam. We conclude by measuring the impact of Machine Learning-based filters and explore the promising offshoots of latest developments.