



Abstract:Industrial Internet of Things (IIoT) applications demand efficient task offloading to handle heavy data loads with minimal latency. Mobile Edge Computing (MEC) brings computation closer to devices to reduce latency and server load, optimal performance requires advanced optimization techniques. We propose a novel solution combining Adaptive Particle Swarm Optimization (APSO) with Reinforcement Learning, specifically Soft Actor Critic (SAC), to enhance task offloading decisions in MEC environments. This hybrid approach leverages swarm intelligence and predictive models to adapt to dynamic variables such as human interactions and environmental changes. Our method improves resource management and service quality, achieving optimal task offloading and resource distribution in IIoT edge computing.




Abstract:We propose a novel IaaS composition framework that selects an optimal set of consumer requests according to the provider's qualitative preferences on long-term service provisions. Decision variables are included in the temporal conditional preference networks (TempCP-net) to represent qualitative preferences for both short-term and long-term consumers. The global preference ranking of a set of requests is computed using a \textit{k}-d tree indexing based temporal similarity measure approach. We propose an extended three-dimensional Q-learning approach to maximize the global preference ranking. We design the on-policy based sequential selection learning approach that applies the length of request to accept or reject requests in a composition. The proposed on-policy based learning method reuses historical experiences or policies of sequential optimization using an agglomerative clustering approach. Experimental results prove the feasibility of the proposed framework.




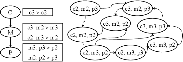
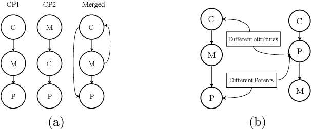
Abstract:We propose a novel CP-Net based composition approach to qualitatively select an optimal set of consumers for an IaaS provider. The IaaS provider's and consumers' qualitative preferences are captured using CP-Nets. We propose a CP-Net composability model using the semantic congruence property of a qualitative composition. A greedy-based and a heuristic-based consumer selection approaches are proposed that effectively reduce the search space of candidate consumers in the composition. Experimental results prove the feasibility of the proposed composition approach.