



Abstract:In mobile communication scenarios, the acquired channel state information (CSI) rapidly becomes outdated due to fast-changing channels. Opportunistic transmitter selection based on current CSI for secrecy improvement may be outdated during actual transmission, negating the diversity benefit of transmitter selection. Motivated by this problem, we propose a joint CSI prediction and predictive selection of the optimal transmitter strategy based on historical CSI by exploiting the temporal correlation among CSIs. The proposed solution utilizes the multi-task learning (MTL) framework by employing a single Long Short-Term Memory (LSTM) network architecture that simultaneously learns two tasks of predicting the CSI and selecting the optimal transmitter in parallel instead of learning these tasks sequentially. The proposed LSTM architecture outperforms convolutional neural network (CNN) based architecture due to its superior ability to capture temporal features in the data. Compared to the sequential task learning models, the MTL architecture provides superior predicted secrecy performance for a large variation in the number of transmitters and the speed of mobile nodes. It also offers significant computational and memory efficiency, leading to a substantial saving in computational time by around 40 percent.




Abstract:Node selection is a simple technique to achieve diversity and thereby enhance the physical layer security in future wireless communication systems which require low complexity. High-speed data transmission often encounters frequency selective fading. In this context, we evaluate the exact closed-form expression for the ergodic secrecy rate (ESR) of the optimal source-destination pair selection scheme with single-carrier cyclic-prefix modulation, where the destination and eavesdropper channels both exhibit independent frequency selective fading with an arbitrary number of multipath components. A simplified analysis in the high-SNR scenario along with an asymptotic analysis is also provided. We also derive and compare the corresponding results for the sub-optimal source-destination pair selection scheme. We show that our analysis produces the corresponding ESR results under narrowband independent Nakagami-$m$ fading channel with any arbitrary integer parameter $m$. The effect of transmitters, destination and eavesdropping paths correlation on the ESR is also demonstrated. Our solution approach is general and can be used to find the ESR of a wider variety of transmitter selection schemes.




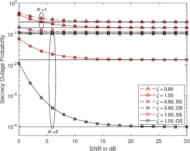
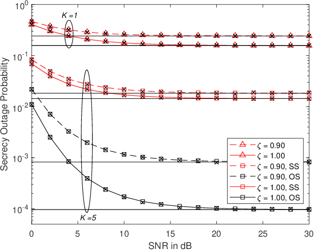
Abstract:In this paper, a communication network using single carrier with cyclic prefix modulation over frequency selective channels is considered, where an access point provides connectivity to a legitimate destination through multiple transmitters with unreliable backhaul links in the presence of an eavesdropper. A sub-optimal and an optimal transmitter selection scheme are proposed to improve the secrecy of the system, depending on whether the active backhaul channel knowledge is available a priori or not. The secrecy outage probability (SOP) and its asymptotic limit are presented in closed-form. This provides some insights regarding how knowledge of the active backhaul links affects the secrecy performance of the network. Our results show that the optimal transmitter selection scheme obtains a larger benefit than the sub-optimal scheme from the knowledge of the active backhaul links, resulting in a significantly improved system performance; however, the sub-optimal transmitter selection scheme can reduce the complexity and feedback overhead.