



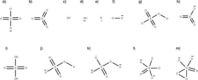
Abstract:The deliberate manipulation of ammonium persulfate, methylenebisacrylamide, dimethyleacrylamide, and polyethylene oxide concentrations resulted in the development of a hydrogel with an exceptional stretchability, capable of extending up to 260 times its original length. This study aims to elucidate the molecular architecture underlying this unique phenomenon by exploring potential reaction mechanisms, facilitated by an artificial intelligence prediction system. Artificial intelligence predictor introduces a novel approach to interlinking two polymers, involving the formation of networks interconnected with linear chains following random chain scission. This novel configuration leads to the emergence of a distinct type of hydrogel, herein referred to as a "Span Network." Additionally, Fourier-transform infrared spectroscopy (FTIR) is used to investigate functional groups that may be implicated in the proposed mechanism, with ester formation confirmed among numerous hydroxyl end groups obtained from chain scission of PEO and carboxyl groups formed on hydrogel networks.