



Abstract:Mixture models in variational inference (VI) is an active field of research. Recent works have established their connection to multiple importance sampling (MIS) through the MISELBO and advanced the use of ensemble approximations for large-scale problems. However, as we show here, an independent learning of the ensemble components can lead to suboptimal diversity. Hence, we study the effect of instead using MISELBO as an objective function for learning mixtures, and we propose the first ever mixture of variational approximations for a normalizing flow-based hierarchical variational autoencoder (VAE) with VampPrior and a PixelCNN decoder network. Two major insights led to the construction of this novel composite model. First, mixture models have potential to be off-the-shelf tools for practitioners to obtain more flexible posterior approximations in VAEs. Therefore, we make them more accessible by demonstrating how to apply them to four popular architectures. Second, the mixture components cooperate in order to cover the target distribution while trying to maximize their diversity when MISELBO is the objective function. We explain this cooperative behavior by drawing a novel connection between VI and adaptive importance sampling. Finally, we demonstrate the superiority of the Mixture VAEs' learned feature representations on both image and single-cell transcriptome data, and obtain state-of-the-art results among VAE architectures in terms of negative log-likelihood on the MNIST and FashionMNIST datasets. Code available here: \url{https://github.com/Lagergren-Lab/MixtureVAEs}.




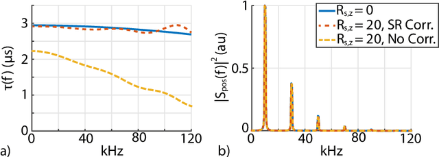
Abstract:Magnetic particle imaging (MPI) is a rapidly developing medical imaging modality that exploits the non-linear response of magnetic nanoparticles (MNPs). Color MPI widens the functionality of MPI, empowering it with the capability to distinguish different MNPs and/or MNP environments. The system function approach for color MPI relies on extensive calibrations that capture the differences in the harmonic responses of the MNPs. An alternative calibration-free x-space-based method called TAURUS estimates a map of the relaxation time constant, by recovering the underlying mirror symmetry in the MPI signal. However, TAURUS requires a back and forth scanning of a given region, restricting its usage to slow trajectories with constant or piecewise constant focus fields (FFs). In this work, we propose a novel technique to increase the performance of TAURUS and enable $\tau$ map estimation for rapid and multi-dimensional trajectories. The proposed technique is based on correcting the mirror symmetry distortion induced by time-varying FFs. We demonstrate via simulations and experiments in our in-house MPI scanner that the proposed method successfully estimates high-fidelity time constant maps for rapid trajectories that provide orders of magnitude reduction in scanning time while preserving the calibration-free property of TAURUS.