



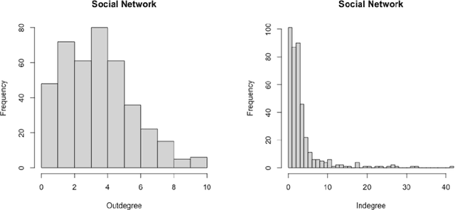
Abstract:Relationships among teachers are known to influence their teaching-related perceptions. We study whether and how teachers' advising relationships (networks) are related to their perceptions of satisfaction, students, and influence over educational policies, recorded as their responses to a questionnaire (item responses). We propose a novel joint model of network and item responses (JNIRM) with correlated latent variables to understand these co-varying ties. This methodology allows the analyst to test and interpret the dependence between a network and item responses. Using JNIRM, we discover that teachers' advising relationships contribute to their perceptions of satisfaction and students more often than their perceptions of influence over educational policies. In addition, we observe that the complementarity principle applies in certain schools, where teachers tend to seek advice from those who are different from them. JNIRM shows superior parameter estimation and model fit over separately modeling the network and item responses with latent variable models.




Abstract:Discovering reliable and informative interactions among brain regions from functional magnetic resonance imaging (fMRI) signals is essential in neuroscientific predictions of cognition. Most of the current methods fail to accurately characterize those interactions because they only focus on pairwise connections and overlook the high-order relationships of brain regions. We delve into this problem and argue that these high-order relationships should be maximally informative and minimally redundant (MIMR). However, identifying such high-order relationships is challenging and highly under-explored. Methods that can be tailored to our context are also non-existent. In response to this gap, we propose a novel method named HyBRiD that aims to extract MIMR high-order relationships from fMRI data. HyBRiD employs a Constructor to identify hyperedge structures, and a Weighter to compute a weight for each hyperedge. HyBRiD achieves the MIMR objective through an innovative information bottleneck framework named multi-head drop-bottleneck with theoretical guarantees. Our comprehensive experiments demonstrate the effectiveness of our model. Our model outperforms the state-of-the-art predictive model by an average of 12.1%, regarding the quality of hyperedges measured by CPM, a standard protocol for studying brain connections.