



Abstract:We consider the problem of automatically generating a narrative biomedical evidence summary from multiple trial reports. We evaluate modern neural models for abstractive summarization of relevant article abstracts from systematic reviews previously conducted by members of the Cochrane collaboration, using the authors conclusions section of the review abstract as our target. We enlist medical professionals to evaluate generated summaries, and we find that modern summarization systems yield consistently fluent and relevant synopses, but that they are not always factual. We propose new approaches that capitalize on domain-specific models to inform summarization, e.g., by explicitly demarcating snippets of inputs that convey key findings, and emphasizing the reports of large and high-quality trials. We find that these strategies modestly improve the factual accuracy of generated summaries. Finally, we propose a new method for automatically evaluating the factuality of generated narrative evidence syntheses using models that infer the directionality of reported findings.




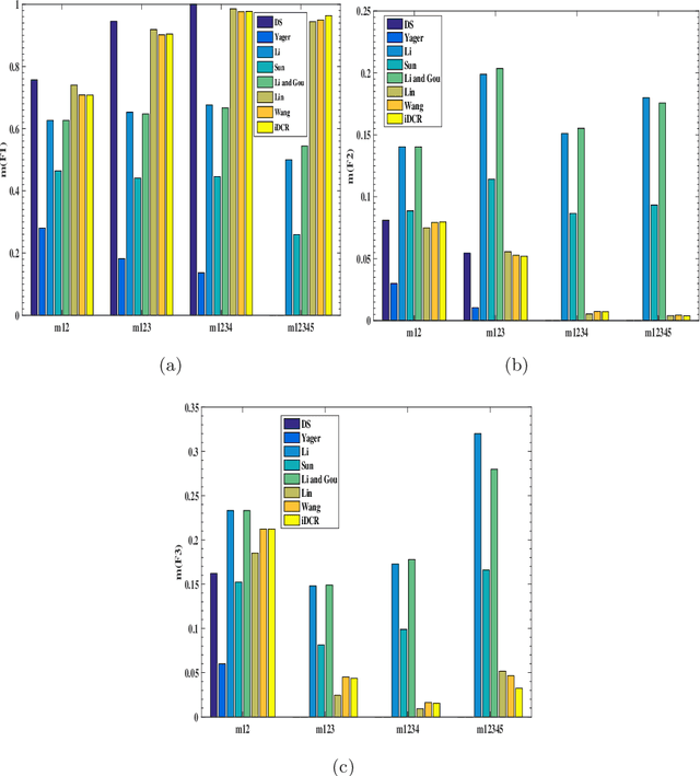
Abstract:Data gathered from multiple sensors can be effectively fused for accurate monitoring of many engineering applications. In the last few years, one of the most sought after applications for multi sensor fusion has been fault diagnosis. Dempster-Shafer Theory of Evidence along with Dempsters Combination Rule is a very popular method for multi sensor fusion which can be successfully applied to fault diagnosis. But if the information obtained from the different sensors shows high conflict, the classical Dempsters Combination Rule may produce counter-intuitive result. To overcome this shortcoming, this paper proposes an improved combination rule for multi sensor data fusion. Numerical examples have been put forward to show the effectiveness of the proposed method. Comparative analysis has also been carried out with existing methods to show the superiority of the proposed method in multi sensor fault diagnosis.




Abstract:Fault detection in sensor nodes is a pertinent issue that has been an important area of research for a very long time. But it is not explored much as yet in the context of Internet of Things. Internet of Things work with a massive amount of data so the responsibility for guaranteeing the accuracy of the data also lies with it. Moreover, a lot of important and critical decisions are made based on these data, so ensuring its correctness and accuracy is also very important. Also, the detection needs to be as precise as possible to avoid negative alerts. For this purpose, this work has adopted Dempster-Shafer Theory of Evidence which is a popular learning method to collate the information from sensors to come up with a decision regarding the faulty status of a sensor node. To verify the validity of the proposed method, simulations have been performed on a benchmark data set and data collected through a test bed in a laboratory set-up. For the different types of faults, the proposed method shows very competent accuracy for both the benchmark (99.8%) and laboratory data sets (99.9%) when compared to the other state-of-the-art machine learning techniques.