Abstract:Autonomous vehicles (AVs) need to determine their position and orientation accurately with respect to global coordinate system or local features under different scene geometries, traffic conditions and environmental conditions. \cite{reid2019localization} provides a comprehensive framework for the localization requirements for AVs. However, the framework is too restrictive whereby - (a) only a very small deviation from the lane is tolerated (one every $10^{8}$ hours), (b) all roadway types are considered same without any attention to restriction provided by the environment onto the localization and (c) the temporal nature of the location and orientation is not considered in the requirements. In this research, we present a more practical view of the localization requirement aimed at keeping the AV safe during an operation. We present the following novel contributions - (a) we propose a deviation penalty as a cumulative distribution function of the Weibull distribution which starts from the adjacent lane boundary, (b) we customize the parameters of the deviation penalty according to the current roadway type, particular lane boundary that the ego vehicle is against and roadway curvature and (c) we update the deviation penalty based on the available gap in the adjacent lane. We postulate that this formulation can provide a more robust and achievable view of the localization requirements than previous research while focusing on safety.




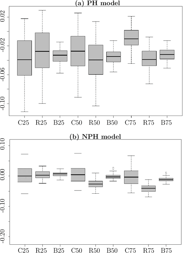
Abstract:In this paper we utilize a survival analysis methodology incorporating Bayesian additive regression trees to account for nonlinear and additive covariate effects. We compare the performance of Bayesian additive regression trees, Cox proportional hazards and random survival forests models for censored survival data, using simulation studies and survival analysis for breast cancer with U.S. SEER database for the year 2005. In simulation studies, we compare the three models across varying sample sizes and censoring rates on the basis of bias and prediction accuracy. In survival analysis for breast cancer, we retrospectively analyze a subset of 1500 patients having invasive ductal carcinoma that is a common form of breast cancer mostly affecting older woman. Predictive potential of the three models are then compared using some widely used performance assessment measures in survival literature.