



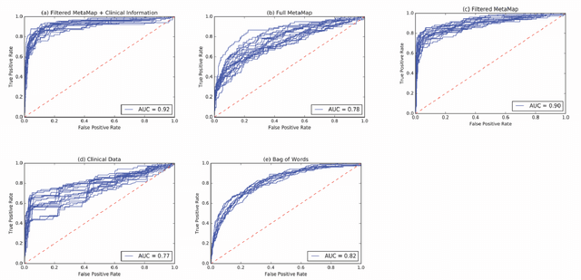
Abstract:Accurately identifying distant recurrences in breast cancer from the Electronic Health Records (EHR) is important for both clinical care and secondary analysis. Although multiple applications have been developed for computational phenotyping in breast cancer, distant recurrence identification still relies heavily on manual chart review. In this study, we aim to develop a model that identifies distant recurrences in breast cancer using clinical narratives and structured data from EHR. We apply MetaMap to extract features from clinical narratives and also retrieve structured clinical data from EHR. Using these features, we train a support vector machine model to identify distant recurrences in breast cancer patients. We train the model using 1,396 double-annotated subjects and validate the model using 599 double-annotated subjects. In addition, we validate the model on a set of 4,904 single-annotated subjects as a generalization test. We obtained a high area under curve (AUC) score of 0.92 (SD=0.01) in the cross-validation using the training dataset, then obtained AUC scores of 0.95 and 0.93 in the held-out test and generalization test using 599 and 4,904 samples respectively. Our model can accurately and efficiently identify distant recurrences in breast cancer by combining features extracted from unstructured clinical narratives and structured clinical data.