Indian Institute of Science
Abstract:Automotive radars at the Terahertz (THz) frequency band have the potential to be compact and lightweight while providing high (nearly-optical) angular resolution. In this paper, we propose a bistatic THz automotive radar that employs the recently proposed orthogonal chirp division multiplexing (OCDM) multi-carrier waveform. As a stand-alone communications waveform, OCDM has been investigated for robustness against interference in time-frequency selective channels. The THz-band path loss, and, hence, radar signal bandwidth, are range-dependent. We address this unique feature through a multi-carrier wideband OCDM sensing transceiver that exploits the coherence bandwidth of the THz channel. We develop an optimal scheme to combine the returns at different range/bandwidths by assigning weights based on the Cramer-Rao lower bound on the range and velocity estimates. Numerical experiments demonstrate improved target estimates using our proposed combined estimation from multiple varied-attenuation THz frequencies.



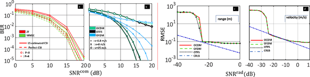
Abstract:We consider a bistatic vehicular integrated sensing and communications (ISAC) system that employs the recently proposed orthogonal chirp division multiplexing (OCDM) multicarrier waveform. As a stand-alone communications waveform, OCDM has been shown to be robust against the interference in time-frequency selective channels. In a bistatic ISAC, we exploit this property to develop efficient receive processing algorithms that achieve high target resolution as well as high communications rate. We derive statistical bounds for our proposed Sequential symbol decoding and radar parameter estimation (SUNDAE) algorithm and compare its competitive performance with other multicarrier waveforms through numerical experiments.