



Abstract:Recurrent Neural Networks (RNN) are ubiquitous computing systems for sequences and multivariate time series data. While several robust architectures of RNN are known, it is unclear how to relate RNN initialization, architecture, and other hyperparameters with accuracy for a given task. In this work, we propose to treat RNN as dynamical systems and to correlate hyperparameters with accuracy through Lyapunov spectral analysis, a methodology specifically designed for nonlinear dynamical systems. To address the fact that RNN features go beyond the existing Lyapunov spectral analysis, we propose to infer relevant features from the Lyapunov spectrum with an Autoencoder and an embedding of its latent representation (AeLLE). Our studies of various RNN architectures show that AeLLE successfully correlates RNN Lyapunov spectrum with accuracy. Furthermore, the latent representation learned by AeLLE is generalizable to novel inputs from the same task and is formed early in the process of RNN training. The latter property allows for the prediction of the accuracy to which RNN would converge when training is complete. We conclude that representation of RNN through Lyapunov spectrum along with AeLLE, and assists with hyperparameter selection of RNN, provides a novel method for organization and interpretation of variants of RNN architectures.




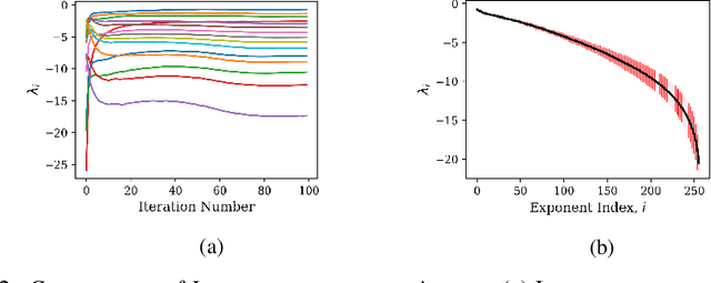
Abstract:Recurrent neural networks (RNNs) have been successfully applied to a variety of problems involving sequential data, but their optimization is sensitive to parameter initialization, architecture, and optimizer hyperparameters. Considering RNNs as dynamical systems, a natural way to capture stability, i.e., the growth and decay over long iterates, are the Lyapunov Exponents (LEs), which form the Lyapunov spectrum. The LEs have a bearing on stability of RNN training dynamics because forward propagation of information is related to the backward propagation of error gradients. LEs measure the asymptotic rates of expansion and contraction of nonlinear system trajectories, and generalize stability analysis to the time-varying attractors structuring the non-autonomous dynamics of data-driven RNNs. As a tool to understand and exploit stability of training dynamics, the Lyapunov spectrum fills an existing gap between prescriptive mathematical approaches of limited scope and computationally-expensive empirical approaches. To leverage this tool, we implement an efficient way to compute LEs for RNNs during training, discuss the aspects specific to standard RNN architectures driven by typical sequential datasets, and show that the Lyapunov spectrum can serve as a robust readout of training stability across hyperparameters. With this exposition-oriented contribution, we hope to draw attention to this understudied, but theoretically grounded tool for understanding training stability in RNNs.