
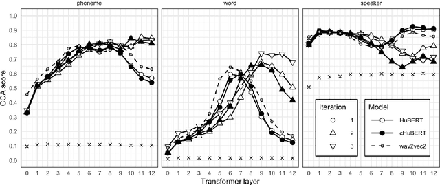
Abstract:Self-supervised models for speech representation learning now see widespread use for their versatility and performance on downstream tasks, but the effect of model architecture on the linguistic information learned in their representations remains under-studied. This study investigates two such models, HuBERT and wav2vec 2.0, and minimally compares two of their architectural differences: training objective and iterative pseudo-label refinement through multiple training iterations. We find that differences in canonical correlation of hidden representations to word identity, phoneme identity, and speaker identity are explained by training iteration, not training objective. We suggest that future work investigate the reason for the effectiveness of iterative refinement in encoding linguistic information in self-supervised speech representations.



Abstract:We introduce the Faetar Automatic Speech Recognition Benchmark, a benchmark corpus designed to push the limits of current approaches to low-resource speech recognition. Faetar, a Franco-Proven\c{c}al variety spoken primarily in Italy, has no standard orthography, has virtually no existing textual or speech resources other than what is included in the benchmark, and is quite different from other forms of Franco-Proven\c{c}al. The corpus comes from field recordings, most of which are noisy, for which only 5 hrs have matching transcriptions, and for which forced alignment is of variable quality. The corpus contains an additional 20 hrs of unlabelled speech. We report baseline results from state-of-the-art multilingual speech foundation models with a best phone error rate of 30.4%, using a pipeline that continues pre-training on the foundation model using the unlabelled set.