



Abstract:Graffiti is a common phenomenon in urban scenarios. Differently from urban art, graffiti tagging is a vandalism act and many local governments are putting great effort to combat it. The graffiti map of a region can be a very useful resource because it may allow one to potentially combat vandalism in locations with high level of graffiti and also to cleanup saturated regions to discourage future acts. There is currently no automatic way of obtaining a graffiti map of a region and it is obtained by manual inspection by the police or by popular participation. In this sense, we describe an ongoing work where we propose an automatic way of obtaining a graffiti map of a neighbourhood. It consists of the systematic collection of street view images followed by the identification of graffiti tags in the collected dataset and finally, in the calculation of the proposed graffiti level of that location. We validate the proposed method by evaluating the geographical distribution of graffiti in a city known to have high concentration of graffiti -- Sao Paulo, Brazil.
Abstract:Graffiti tagging is a common issue in great cities an local authorities are on the move to combat it. The tagging map of a city can be a useful tool as it may help to clean-up highly saturated regions and discourage future acts in the neighbourhood and currently there is no way of getting a tagging map of a region in an automatic fashion and manual inspection or crowd participation are required. In this work, we describe a work in progress in creating an automatic way to get a tagging map of a city or region. It is based on the use of street view images and on the detection of graffiti tags in the images.




Abstract:In this paper, we propose a novel approach for exploiting structural relations to track multiple objects that may undergo long-term occlusion and abrupt motion. We use a model-free approach that relies only on annotations given in the first frame of the video to track all the objects online, i.e. without knowledge from future frames. We initialize a probabilistic Attributed Relational Graph (ARG) from the first frame, which is incrementally updated along the video. Instead of using the structural information only to evaluate the scene, the proposed approach considers it to generate new tracking hypotheses. In this way, our method is capable of generating relevant object candidates that are used to improve or recover the track of lost objects. The proposed method is evaluated on several videos of table tennis, volleyball, and on the ACASVA dataset. The results show that our approach is very robust, flexible and able to outperform other state-of-the-art methods in sports videos that present structural patterns.




Abstract:An important problem in bioinformatics is the inference of gene regulatory networks (GRN) from temporal expression profiles. In general, the main limitations faced by GRN inference methods is the small number of samples with huge dimensionalities and the noisy nature of the expression measurements. In face of these limitations, alternatives are needed to get better accuracy on the GRNs inference problem. This work addresses this problem by presenting an alternative feature selection method that applies prior knowledge on its search strategy, called SFFS-BA. The proposed search strategy is based on the Sequential Floating Forward Selection (SFFS) algorithm, with the inclusion of a scale-free (Barab\'asi-Albert) topology information in order to guide the search process to improve inference. The proposed algorithm explores the scale-free property by pruning the search space and using a power law as a weight for reducing it. In this way, the search space traversed by the SFFS-BA method combines a breadth-first search when the number of combinations is small (<k> <= 2) with a depth-first search when the number of combinations becomes explosive (<k> >= 3), being guided by the scale-free prior information. Experimental results show that the SFFS-BA provides a better inference similarities than SFS and SFFS, keeping the robustness of the SFS and SFFS methods, thus presenting very good results.




Abstract:Feature selection is a pattern recognition approach to choose important variables according to some criteria to distinguish or explain certain phenomena. There are many genomic and proteomic applications which rely on feature selection to answer questions such as: selecting signature genes which are informative about some biological state, e.g. normal tissues and several types of cancer; or defining a network of prediction or inference among elements such as genes, proteins, external stimuli and other elements of interest. In these applications, a recurrent problem is the lack of samples to perform an adequate estimate of the joint probabilities between element states. A myriad of feature selection algorithms and criterion functions are proposed, although it is difficult to point the best solution in general. The intent of this work is to provide an open-source multiplataform graphical environment to apply, test and compare many feature selection approaches suitable to be used in bioinformatics problems.




Abstract:This paper proposes a novel algorithm for the problem of structural image segmentation through an interactive model-based approach. Interaction is expressed in the model creation, which is done according to user traces drawn over a given input image. Both model and input are then represented by means of attributed relational graphs derived on the fly. Appearance features are taken into account as object attributes and structural properties are expressed as relational attributes. To cope with possible topological differences between both graphs, a new structure called the deformation graph is introduced. The segmentation process corresponds to finding a labelling of the input graph that minimizes the deformations introduced in the model when it is updated with input information. This approach has shown to be faster than other segmentation methods, with competitive output quality. Therefore, the method solves the problem of multiple label segmentation in an efficient way. Encouraging results on both natural and target-specific color images, as well as examples showing the reusability of the model, are presented and discussed.



Abstract:We present a novel local-based face verification system whose components are analogous to those of biological systems. In the proposed system, after global registration and normalization, three eye regions are converted from the spatial to polar frequency domain by a Fourier-Bessel Transform. The resulting representations are embedded in a dissimilarity space, where each image is represented by its distance to all the other images. In this dissimilarity space a Pseudo-Fisher discriminator is built. ROC and equal error rate verification test results on the FERET database showed that the system performed at least as state-of-the-art methods and better than a system based on polar Fourier features. The local-based system is especially robust to facial expression and age variations, but sensitive to registration errors.




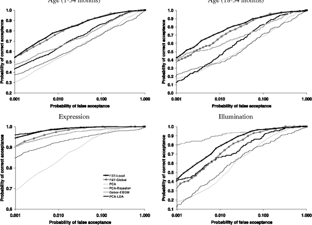
Abstract:We present an automatic face verification system inspired by known properties of biological systems. In the proposed algorithm the whole image is converted from the spatial to polar frequency domain by a Fourier-Bessel Transform (FBT). Using the whole image is compared to the case where only face image regions (local analysis) are considered. The resulting representations are embedded in a dissimilarity space, where each image is represented by its distance to all the other images, and a Pseudo-Fisher discriminator is built. Verification test results on the FERET database showed that the local-based algorithm outperforms the global-FBT version. The local-FBT algorithm performed as state-of-the-art methods under different testing conditions, indicating that the proposed system is highly robust for expression, age, and illumination variations. We also evaluated the performance of the proposed system under strong occlusion conditions and found that it is highly robust for up to 50% of face occlusion. Finally, we automated completely the verification system by implementing face and eye detection algorithms. Under this condition, the local approach was only slightly superior to the global approach.