



Abstract:We develop an NLP-based procedure for detecting systematic nonmeritorious consumer complaints, simply called systematic anomalies, among complaint narratives. While classification algorithms are used to detect pronounced anomalies, in the case of smaller and frequent systematic anomalies, the algorithms may falter due to a variety of reasons, including technical ones as well as natural limitations of human analysts. Therefore, as the next step after classification, we convert the complaint narratives into quantitative data, which are then analyzed using an algorithm for detecting systematic anomalies. We illustrate the entire procedure using complaint narratives from the Consumer Complaint Database of the Consumer Financial Protection Bureau.


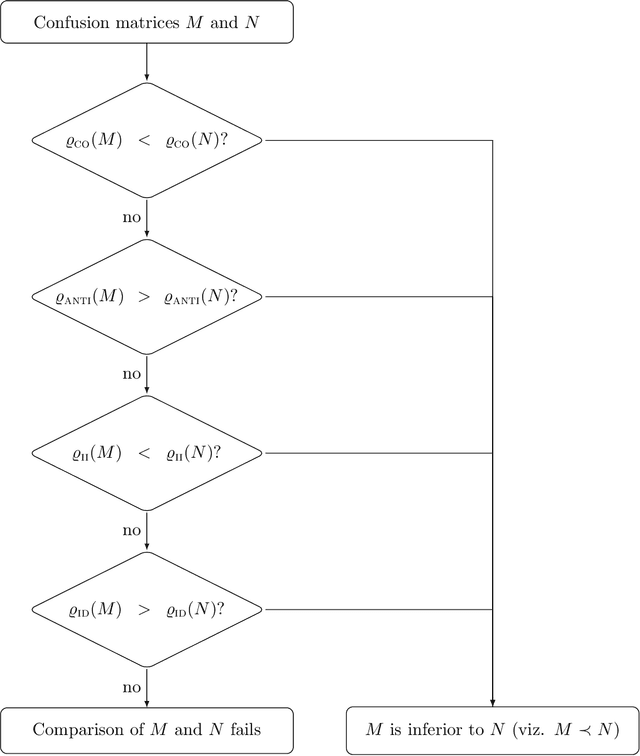
Abstract:In statistical classification, machine learning, social and other sciences, a number of measures of association have been developed and used for assessing and comparing individual classifiers, raters, and their groups. Among the measures, we find the weighted kappa, extensively used by psychometricians, and the monotone and supremum correlation coefficients, prominently used by social scientists and statisticians. In this paper, we introduce, justify, and explore several new members of the class of functional correlation coefficients that naturally arise when comparing classifiers. We illustrate the performance of the coefficients by reanalyzing a number of confusion matrices that have appeared in the literature.