LACODAM




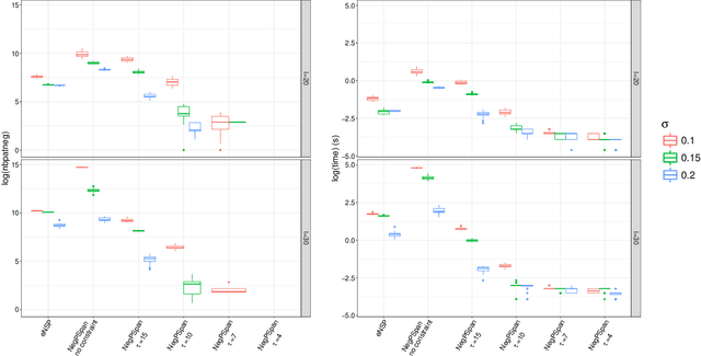
Abstract:Mining frequent sequential patterns consists in extracting recurrent behaviors, modeled as patterns, in a big sequence dataset. Such patterns inform about which events are frequently observed in sequences, i.e. what does really happen. Sometimes, knowing that some specific event does not happen is more informative than extracting a lot of observed events. Negative sequential patterns (NSP) formulate recurrent behaviors by patterns containing both observed events and absent events. Few approaches have been proposed to mine such NSPs. In addition, the syntax and semantics of NSPs differ in the different methods which makes it difficult to compare them. This article provides a unified framework for the formulation of the syntax and the semantics of NSPs. Then, we introduce a new algorithm, NegPSpan, that extracts NSPs using a PrefixSpan depth-first scheme and enabling maxgap constraints that other approaches do not take into account. The formal framework allows for highlighting the differences between the proposed approach wrt to the methods from the literature, especially wrt the state of the art approach eNSP. Intensive experiments on synthetic and real datasets show that NegPSpan can extract meaningful NSPs and that it can process bigger datasets than eNSP thanks to significantly lower memory requirements and better computation times.




Abstract:This article presents the use of Answer Set Programming (ASP) to mine sequential patterns. ASP is a high-level declarative logic programming paradigm for high level encoding combinatorial and optimization problem solving as well as knowledge representation and reasoning. Thus, ASP is a good candidate for implementing pattern mining with background knowledge, which has been a data mining issue for a long time. We propose encodings of the classical sequential pattern mining tasks within two representations of embeddings (fill-gaps vs skip-gaps) and for various kinds of patterns: frequent, constrained and condensed. We compare the computational performance of these encodings with each other to get a good insight into the efficiency of ASP encodings. The results show that the fill-gaps strategy is better on real problems due to lower memory consumption. Finally, compared to a constraint programming approach (CPSM), another declarative programming paradigm, our proposal showed comparable performance.


Abstract:This article extends the method of Garriga et al. for mining relevant rules to numerical attributes by extracting interval-based pattern rules. We propose an algorithm that extracts such rules from numerical datasets using the interval-pattern approach from Kaytoue et al. This algorithm has been implemented and evaluated on real datasets.


Abstract:Serial pattern mining consists in extracting the frequent sequential patterns from a unique sequence of itemsets. This paper explores the ability of a declarative language, such as Answer Set Programming (ASP), to solve this issue efficiently. We propose several ASP implementations of the frequent sequential pattern mining task: a non-incremental and an incremental resolution. The results show that the incremental resolution is more efficient than the non-incremental one, but both ASP programs are less efficient than dedicated algorithms. Nonetheless, this approach can be seen as a first step toward a generic framework for sequential pattern mining with constraints.
Abstract:The evolution of the web server contents and the emergence of new kinds of intrusions make necessary the adaptation of the intrusion detection systems (IDS). Nowadays, the adaptation of the IDS requires manual -- tedious and unreactive -- actions from system administrators. In this paper, we present a self-adaptive intrusion detection system which relies on a set of local model-based diagnosers. The redundancy of diagnoses is exploited, online, by a meta-diagnoser to check the consistency of computed partial diagnoses, and to trigger the adaptation of defective diagnoser models (or signatures) in case of inconsistency. This system is applied to the intrusion detection from a stream of HTTP requests. Our results show that our system 1) detects intrusion occurrences sensitively and precisely, 2) accurately self-adapts diagnoser model, thus improving its detection accuracy.




Abstract:This paper formalises the concept of learning symbolic rules from multisource data in a cardiac monitoring context. Our sources, electrocardiograms and arterial blood pressure measures, describe cardiac behaviours from different viewpoints. To learn interpretable rules, we use an Inductive Logic Programming (ILP) method. We develop an original strategy to cope with the dimensionality issues caused by using this ILP technique on a rich multisource language. The results show that our method greatly improves the feasibility and the efficiency of the process while staying accurate. They also confirm the benefits of using multiple sources to improve the diagnosis of cardiac arrhythmias.