
Abstract:In this paper, we focus on radar imaging using active sensing with a single transceiver and reconfigurable intelligent surface (RIS). RISs are arrays with tunable passive phase shifter elements that can modify the propagation channel. The RIS reflects each transmit pulse with a different phase profile. We use compressive sensing to recover the radar scene from observations at the single-antenna receiver. We also provide a projected gradient descent algorithm to design the RIS phase shifts to obtain minimally coherent observations required for recovery. Through numerical simulations, we demonstrate that the proposed method recovers radar scenes with point scatterers and extended targets.
Abstract:In this paper, we present an unsupervised learning neural model to design transmit precoders for integrated sensing and communication (ISAC) systems to maximize the worst-case target illumination power while ensuring a minimum signal-to-interference-plus-noise ratio (SINR) for all the users. The problem of learning transmit precoders from uplink pilots and echoes can be viewed as a parameterized function estimation problem and we propose to learn this function using a neural network model. To learn the neural network parameters, we develop a novel loss function based on the first-order optimality conditions to incorporate the SINR and power constraints. Through numerical simulations, we demonstrate that the proposed method outperforms traditional optimization-based methods in presence of channel estimation errors while incurring lesser computational complexity and generalizing well across different channel conditions that were not shown during training.
Abstract:Hybrid reconfigurable intelligent surfaces (HRIS) are RIS architectures having both active and passive elements. The received signal-to-noise ratio (SNR) in HRIS-assisted communication systems depends on the placement of active elements. In this paper, we show that received SNR can be improved with a channel-aware placement of the active elements. We jointly design the transmit precoder, the RIS coefficients, and the location of active and passive elements of the HRIS to maximize the SNR. We solve the underlying combinatorial nonconvex optimization problem using alternating optimization and propose a low-complexity solver, which is provably nearly optimal. Through numerical simulations, we demonstrate that the proposed method offers significantly improved performance compared to communication systems having a fully passive RIS array or a hybrid RIS array with channel agnostic active element placement and performance comparable to that of communication systems with a fully active RIS array.


Abstract:In this paper, we present a novel reconfigurable intelligent surface (RIS)-assisted integrated sensing and communication (ISAC) system with 1-bit quantization at the ISAC base station. An RIS is introduced in the ISAC system to mitigate the effects of coarse quantization and to enable the co-existence between sensing and communication functionalities. Specifically, we design transmit precoder to obtain 1-bit sensing waveforms having a desired radiation pattern. The RIS phase shifts are then designed to modulate the 1-bit sensing waveform to transmit M-ary phase shift keying symbols to users. Through numerical simulations, we show that the proposed method offers significantly improved symbol error probabilities when compared to MIMO communication systems having quantized linear precoders, while still offering comparable sensing performance as that of unquantized sensing systems.




Abstract:We consider transmit beamforming and reflection pattern design in reconfigurable intelligent surface (RIS)-assisted integrated sensing and communication (ISAC) systems to jointly precode communication symbols and radar waveforms. We treat two settings of multiple users and targets. In the first, we use a single RIS to enhance the communication performance of the ISAC system and design beams with good cross-correlation properties to match a desired beam pattern while guaranteeing a desired signal-to-interference plus noise ratio (SINR) for each user. In the second setting, we use two dedicated RISs to aid the ISAC system, wherein the beams are designed to maximize the worst-case target illumination power while guaranteeing a desired SINR for each user. We propose solvers based on alternating optimization as the design problems in both cases are non-convex optimization problems. Through a number of numerical simulations, we demonstrate the advantages of RIS-assisted ISAC systems. In particular, we show that the proposed single-RIS assisted ISAC system improves the minimum user SINR while suffering from a moderate loss in radar target illumination power. On the other hand, the dual-RIS assisted ISAC system improves both minimum user SINR as well as worst-case target illumination power at the targets, especially when the users and targets are not directly visible.


Abstract:In this paper, we consider a hybrid reconfigurable intelligent surface (RIS) comprising of active and passive elements to aid an integrated sensing and communication (ISAC) system serving multiple users and targets. Active elements in a hybrid RIS include amplifiers and phase shifters, whereas passive elements include only phase shifters. We jointly design transmit beamformers and RIS coefficients, i.e., amplifier gains and phase shifts, to maximize the worst-case target illumination power while ensuring a desired signal-to-interference-plus-noise ratio for communication links and constraining the RIS noise power due to the active elements. Since this design problem is not convex, we propose a solver based on alternating optimization to design the transmit beamformers and RIS coefficients. Through numerical simulations, we demonstrate that the performance of the proposed hybrid RIS assisted ISAC system is significantly better than that of passive RIS assisted ISAC systems as well as ISAC systems without RIS even when only a small fraction of the hybrid RIS contains active elements.




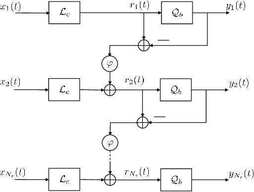
Abstract:This paper focuses on channel estimation in single-user and multi-user MIMO systems with multi-antenna base stations equipped with 1-bit spatial sigma-delta analog-to-digital converters (ADCs). A careful selection of the quantization voltage level and phase shift used in the feedback loop of 1-bit sigma-delta ADCs is critical to improve its effective resolution. We first develop a quantization noise model for 1-bit spatial sigma-delta ADCs. Using the developed noise model, we then present a two-step channel estimation algorithm to estimate a multipath channel parameterized by the gains, angles of arrival (AoAs), and angles of departure (AoDs). Specifically, in the first step, the AoAs and path gains are estimated using uplink pilots, which excite all the angles uniformly. Next, in the second step, the AoDs are estimated by progressively refining uplink beams through a recursive bisection procedure. For this algorithm, we propose a technique to select the quantization voltage level and phase shift. Through numerical simulations, we demonstrate that with the proposed parametric channel estimation algorithm, MIMO systems with 1-bit spatial sigma-delta ADCs perform significantly better than those with regular 1-bit ADCs and are on par with MIMO systems with high-resolution ADCs.



Abstract:In this paper, we use a reconfigurable intelligent surface (RIS) to enhance the radar sensing and communication capabilities of a mmWave dual function radar communication system. To simultaneously localize the target and to serve the user, we propose to adaptively partition the RIS by reserving separate RIS elements for sensing and communication. We design a multi-stage hierarchical codebook to localize the target while ensuring a strong communication link to the user. We also present a method to choose the number of times to transmit the same beam in each stage to achieve a desired target localization probability of error. The proposed algorithm typically requires fewer transmissions than an exhaustive search scheme to achieve a desired target localization probability of error. Furthermore, the average spectral efficiency of the user with the proposed algorithm is found to be comparable to that of a RIS-assisted MIMO communication system without sensing capabilities and is much better than that of traditional MIMO systems without RIS.