



Abstract:Variable selection is a challenging problem in high-dimensional sparse learning, especially when group structures exist. Group SLOPE performs well for the adaptive selection of groups of predictors. However, the block non-separable group effects in Group SLOPE make existing methods either invalid or inefficient. Consequently, Group SLOPE tends to incur significant computational costs and memory usage in practical high-dimensional scenarios. To overcome this issue, we introduce a safe screening rule tailored for the Group SLOPE model, which efficiently identifies inactive groups with zero coefficients by addressing the block non-separable group effects. By excluding these inactive groups during training, we achieve considerable gains in computational efficiency and memory usage. Importantly, the proposed screening rule can be seamlessly integrated into existing solvers for both batch and stochastic algorithms. Theoretically, we establish that our screening rule can be safely employed with existing optimization algorithms, ensuring the same results as the original approaches. Experimental results confirm that our method effectively detects inactive feature groups and significantly boosts computational efficiency without compromising accuracy.




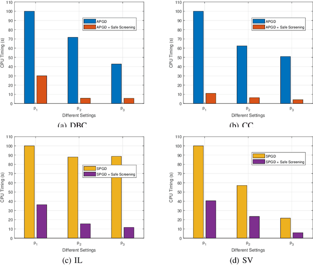
Abstract:Group Ordered Weighted $L_{1}$-Norm (Group OWL) regularized models have emerged as a useful procedure for high-dimensional sparse multi-task learning with correlated features. Proximal gradient methods are used as standard approaches to solving Group OWL models. However, Group OWL models usually suffer huge computational costs and memory usage when the feature size is large in the high-dimensional scenario. To address this challenge, in this paper, we are the first to propose the safe screening rule for Group OWL models by effectively tackling the structured non-separable penalty, which can quickly identify the inactive features that have zero coefficients across all the tasks. Thus, by removing the inactive features during the training process, we may achieve substantial computational gain and memory savings. More importantly, the proposed screening rule can be directly integrated with the existing solvers both in the batch and stochastic settings. Theoretically, we prove our screening rule is safe and also can be safely applied to the existing iterative optimization algorithms. Our experimental results demonstrate that our screening rule can effectively identify the inactive features and leads to a significant computational speedup without any loss of accuracy.




Abstract:This study presents a hierarchical mining framework for high-dimensional imbalanced data, leveraging a depth graph model to address the inherent performance limitations of conventional approaches in handling complex, high-dimensional data distributions with imbalanced sample representations. By constructing a structured graph representation of the dataset and integrating graph neural network (GNN) embeddings, the proposed method effectively captures global interdependencies among samples. Furthermore, a hierarchical strategy is employed to enhance the characterization and extraction of minority class feature patterns, thereby facilitating precise and robust imbalanced data mining. Empirical evaluations across multiple experimental scenarios validate the efficacy of the proposed approach, demonstrating substantial improvements over traditional methods in key performance metrics, including pattern discovery count, average support, and minority class coverage. Notably, the method exhibits superior capabilities in minority-class feature extraction and pattern correlation analysis. These findings underscore the potential of depth graph models, in conjunction with hierarchical mining strategies, to significantly enhance the efficiency and accuracy of imbalanced data analysis. This research contributes a novel computational framework for high-dimensional complex data processing and lays the foundation for future extensions to dynamically evolving imbalanced data and multi-modal data applications, thereby expanding the applicability of advanced data mining methodologies to more intricate analytical domains.




Abstract:Semantic segmentation is one of the core tasks in the field of computer vision, and its goal is to accurately classify each pixel in an image. The traditional Unet model achieves efficient feature extraction and fusion through an encoder-decoder structure, but it still has certain limitations when dealing with complex backgrounds, long-distance dependencies, and multi-scale targets. To this end, this paper proposes an improved Unet model combined with an attention mechanism, introduces channel attention and spatial attention modules, enhances the model's ability to focus on important features, and optimizes skip connections through a multi-scale feature fusion strategy, thereby improving the combination of global semantic information and fine-grained features. The experiment is based on the Cityscapes dataset and compared with classic models such as FCN, SegNet, DeepLabv3+, and PSPNet. The improved model performs well in terms of mIoU and pixel accuracy (PA), reaching 76.5% and 95.3% respectively. The experimental results verify the superiority of this method in dealing with complex scenes and blurred target boundaries. In addition, this paper discusses the potential of the improved model in practical applications and future expansion directions, indicating that it has broad application value in fields such as autonomous driving, remote sensing image analysis, and medical image processing.